Hach-Lange POLYMETRON 9500 Conductivity Module User Manual – страница 3
Инструкция к Hach-Lange POLYMETRON 9500 Conductivity Module User Manual

Tabelle 4 zeigt eine Liste der möglichen Warnmeldungen.
Tabelle 4 Warnliste für Leitfähigkeitssensoren
Warnung Beschreibung Lösung
MEAS TOO HIGH Der gemessene Wert ist > 2 S/cm,
Stellen Sie sicher, dass das
1.000.000 ppm 200% oder
Anzeigenformat auf den korrekten
20.000 ppt
Messbereich eingestellt ist.
MEAS TOO LOW Der gemessene Wert ist < 0 μS/cm,
Stellen Sie sicher, dass der Sensor
0 ppm, 0% oder 0 ppt
für die richtige Zellkonstante
konfiguriert ist.
ZERO TOO HIGH Der Wert für die Null-Kalibrierung ist
Stellen Sie sicher, dass der Sensor
zu hoch.
bei der Nullpunkt-Kalibrierung in
Luft gehalten wurde und sich nicht
ZERO TOO LOW Der Wert für die Null-Kalibrierung ist
in der Nähe von HF-Sendern oder
zu niedrig.
anderen elektromagnetischen
Störquellen befindet. Stellen Sie
sicher, dass das Kabel durch einen
Metall-Kabelkanal abgeschirmt ist.
TEMP TOO HIGH Die gemessene Temperatur beträgt
Stellen Sie sicher, dass der Sensor
> 200 °C
für das richtige Temperaturelement
konfiguriert ist.
TEMP TOO LOW Die gemessene Temperatur beträgt
< -20 °C
CAL OVERDUE Die Zeit für die
Kalibrieren Sie den Sensor.
Kalibrierungserinnerung ist
abgelaufen
NOT CALIBRATED Der Sensor wurde nicht kalibriert Kalibrieren Sie den Sensor.
REPLACE SENSOR Der Sensor ist seit mehr als
Kalibrieren Sie den Sensor mit einer
365 Tagen in Betrieb
Referenzlösung und setzen Sie die
Betriebsdauer des Sensors zurück.
Beziehen Sie sich auf
Sensordiagnose- und Testmenü
auf Seite 39. Wenn die Kalibrierung
fehlschlägt, wenden Sie sich an den
technischen Kundenservice.
CAL IN PROGRESS Eine Kalibrierung wurde gestartet,
Kehren Sie zur Kalibrierung zurück.
aber noch nicht abgeschlossen
OUTPUTS ON HOLD Während der Kalibrierung werden
Nach Ablauf der gewählten Zeit
die Ausgänge für eine vorgegebene
werden die Ausgänge wieder aktiv.
Zeit gehalten.
WRONG LINEAR TC Die benutzerdefinierte lineare
Der Wert muss zwischen 0 und
Temperaturkompensation liegt
4%/°C für 0 bis 200 °C liegen.
außerhalb des Bereichs
WRONG TC TABLE Die benutzerdefinierte Tabelle der
Die Temperatur liegt über oder
Temperaturkompensation liegt
unter dem in der Tabelle definierten
außerhalb des Bereichs
Temperaturbereich.
WRNG USER CONC TABLE Die Konzentrationsmessung liegt
Stellen Sie sicher, dass die
außerhalb des Bereichs der
Anwendertabelle auf den korrekten
Anwendertabelle.
Messbereich eingestellt ist.
Deutsch 41

Tabelle 4 Warnliste für Leitfähigkeitssensoren (fortgesetzt)
Warnung Beschreibung Lösung
WRNG BLT-IN TEMP TABLE Die gemessene Temperatur liegt
Stellen Sie sicher, dass die
außerhalb des Bereichs der
Temperaturkompensation korrekt
integrierten Tabelle für die
konfiguriert ist.
Temperaturkompensierung.
WRNG BLT-IN CONC TABLE Die Konzentrationsmessung liegt
Stellen Sie sicher, dass die
außerhalb des Bereichs der
Konzentrationsmessung für die
integrierten Konzentrationstabelle.
richtige Chemikalie und den
richtigen Bereich konfiguriert wurde.
42 Deutsch

Specifiche
Le specifiche sono soggette a modifica senza preavviso.
Sensori di conducibilità di contatto
Specifiche 8310 8311 8312
Trattamento dell'acqua potabile e delle acque reflue
Applicazione
Processi chimici
Acqua demineralizzata e addolcita
Materiali corpo PSU nero PSU nero PSU nero
Elettrodo interno SS 316L SS 316L Grafite
Elettrodo esterno SS 316L SS 316L Grafite
Isolante PSU PSU PSU
Connettore Poliestere vetro (IP65) Poliestere vetro (IP65) Poliestere vetro (IP65)
-1
-1
-1
Costante di cella K 0.01 (cm
) 0.1 (cm
) 1.0 (cm
)
Accuratezza < 2% < 2% < 2%
-1
-1
-1
Intervallo di misurazione 0.01—200 μS.cm
0.1 μS—2 mS.cm
1 μS—20 mS.cm
Risposta temperatura < 30 secondi < 30 secondi < 30 secondi
Temperatura massima 125 °C 125 °C 125 °C
Pressione massima 10 bar 10 bar 10 bar
Collegamento campione NPT ¾ di pollice NPT ¾ di pollice NPT ¾ di pollice
Specifiche 8315 8316 8317 8394
Monitoraggio
dell'acqua ultrapura
Produzione di acqua pura
nell'industria
Applicazione
farmaceutica e
Monitoraggio dell'acqua di processo (condensa, cicli di pulizia,
alimentare
scambiatori di calore)
Ideoneo per i
processi CIP-SIP
Materiali corpo SS 316L SS 316L SS 316L SS 316L
Elettrodo interno SS 316L SS 316L Grafite SS 316L
Elettrodo esterno SS 316L SS 316L Grafite SS 316L
Isolante PES PES PES PEEK
Connettore Poliestere vetro
Poliestere vetro
Poliestere vetro
Poliestere vetro
(IP65)
(IP65)
(IP65)
(IP65)
-1
-1
-1
-1
Costante di cella K 0.01 (cm
) 0.1 (cm
) 1.0 (cm
) 0.01 (cm
)
Accuratezza < 2% < 2% < 2% < 2%
Intervallo di
-1
-1
-1
-1
0.01—200 μS.cm
0.1 μS—2 mS.cm
1 μS—20 mS.cm
0.01—200 μS.cm
misurazione
Risposta
< 30 secondi < 30 secondi < 30 secondi < 30 secondi
temperatura
Italiano 43

Specifiche 8315 8316 8317 8394
Temperatura
150 °C 150 °C 150 °C 150 °C
massima
Pressione massima 25 bar 25 bar 25 bar 25 bar
Collegamento
Tri-Clamp 1,5 o
NPT ¾ di pollice NPT ¾ di pollice NPT ¾ di pollice
campione
2 pollici
Sensori di conducibilità induttiva
Specifiche Serie 8398 8332
Applicazione Applicazioni in ambienti corrosivi e
Misurazione in condizioni estreme
incrostanti
Materiale PEEK PVDF
-1
-1
Costante di cella K 2.35 (cm
) 10 (cm
)
Accuratezza ± 2 % ± 2 %
Intervallo di misurazione 0—2000 mS/cm 100 μS/cm—10 S/cm
Risposta conducibilità < 1 secondo < 1 secondo
Risposta temperatura < 2 minuti < 2 minuti
Pressione massima 18 bar 7.5 bar
Temperatura massima 140 °C 120 °C
Informazioni generali
In nessun caso, il produttore potrà essere ritenuto responsabile in caso di danni diretti, indiretti,
particolari, causali o consequenziali per qualsiasi difetto o omissione relativa al presente manuale. Il
produttore si riserva il diritto di apportare eventuali modifiche al presente manuale e ai prodotti ivi
descritti in qualsiasi momento senza alcuna notifica o obbligo. Le edizioni riviste sono presenti nel
sito Web del produttore.
Informazioni sulla sicurezza
A V V I S O
Il produttore non può essere ritenuto responsabile di danni causati dal cattivo uso di questo prodotto, inclusi,
senza limitazioni, danni diretti, accidentali e consequenziali e declina la responsabilità di tali danni nella massima
misura permessa dalla legge. La responsabilità relativa all'identificazione dei rischi critici dell'applicazione e
all'installazione di meccanismi appropriati per proteggere i processi in caso di eventuale malfunzionamento
dell'apparecchiatura compete unicamente all'utilizzatore.
Prima di disimballare, installare o utilizzare l’apparecchio, si prega di leggere l’intero manuale. Si
raccomanda di leggere con attenzione e rispettare le istruzioni riguardanti possibili pericoli o note
cautelative. La non osservanza di tali indicazioni potrebbe comportare lesioni gravi dell'operatore o
danni all'apparecchio.
Assicurarsi che la protezione fornita da questa apparecchiatura non sia danneggiata. Non utilizzare o
installare questa apparecchiatura in modo diverso da quanto specificato nel presente manuale.
Utilizzo dei segnali di pericolo
P E R I C O L O
Indica una situazione di pericolo potenziale o imminente che, se non evitata, potrebbe causare lesioni gravi o la
morte.
44 Italiano

A V V E R T E N Z A
Indica una situazione di pericolo potenziale o imminente che, se non evitata, potrebbe comportare lesioni gravi,
anche mortali.
A T T E N Z I O N E
Indica una situazione di pericolo potenziale che potrebbe comportare lesioni lievi o moderate.
A V V I S O
Indica una situazione che, se non evitata, può danneggiare lo strumento. Informazioni che richiedono particolare
attenzione da parte dell'utente.
Etichette precauzionali
Leggere tutte le etichette e le targhette applicate sul prodotto. La mancata osservanza delle
precauzioni segnalate potrebbe causare lesioni personali o danni al prodotto. A ogni simbolo
riportato sullo strumento corrisponde un'indicazione di pericolo o di avvertenza nel manuale.
Questo simbolo, se presente sul prodotto, indica un potenziale pericolo che potrebbe causare gravi
lesioni personali e/o morte. Per le istruzioni sul funzionamento dello strumento e/o le informazioni
inerenti alla sicurezza, l'utente deve attenersi a quanto riportato nel presente manuale.
Questo simbolo, se presente sulla custodia o la barriera protettiva del prodotto, indica l'esistenza di
un rischio di elettrocuzione e solo il personale qualificato ad operare con tensioni pericolose è
autorizzato ad aprire la custodia o rimuovere la barriera.
Questo simbolo, se presente sul prodotto, indica la presenza di dispositivi sensibili alle scariche
elettrostatiche e segnala la necessità di agire con attenzione per evitare di danneggiarli.
Le apparecchiature elettriche contrassegnate dal presente simbolo non possono essere smaltite nei
centri pubblici di smaltimento europei. In conformità con le normative nazionali e locali europee, gli
utenti di apparecchiature elettriche in Europa devono restituire gli strumenti obsoleti al produttore, il
quale provvederà al loro smaltimento senza alcuna spesa a carico dell'utente.
Nota: Per la restituzione al fine del riciclaggio, si prega di contattare il produttore dell’apparecchio o il fornitore, che
dovranno indicare come restituire l’apparecchio usato.
I prodotti contrassegnati dal presente simbolo contengono sostanze o elementi tossici o pericolosi.
Il numero all'interno del simbolo indica il periodo di utilizzo senza rischio per l'ambiente, espresso in
anni.
Descrizione del prodotto
Il modulo, quando installato su un controller sc200 o Polymetron 9500, consente di collegare un
sensore analogico al controller.
Installazione
A V V E R T E N Z A
Rischi multipli. Gli interventi descritti in questa sezione del documento devono essere eseguiti solo da personale
qualificato.
Collegare il sensore al modulo
A V V E R T E N Z A
Rischio potenziale di scossa elettrica. Quando si eseguono collegamenti elettrici, scollegare sempre
l'alimentazione al controller.
Italiano 45

A V V E R T E N Z A
Pericolo di folgorazione. Il cablaggio ad alta tensione per il controller viene trasmesso attraverso la protezione per
l'alta tensione nell'alloggiamento del controller. La barriera deve rimanere in posizione tranne quando si installano
i moduli oppure quando un addetto all'installazione qualificato esegue i cablaggi per l'alimentazione, i relè o le
schede di rete e analogiche.
A V V I S O
Rischio di danneggiare lo strumento. Componenti elettronici interni delicati possono essere danneggiati
dall'elettricità statica, compromettendo le prestazioni o provocando guasti.
Per installare il modulo e collegare il sensore, fare riferimento ai passaggi illustrati e alla tabella di
cablaggio.
Assicurarsi di collegare tutti i fili di terra/schermatura del sensore alle viti di messa a terra
dell'armadietto del controller.
Nota: Se la lunghezza del cavo del sensore non è sufficiente a raggiungere il controller, utilizzare un cavo di
interconnessione (modello 150727,10000) e una scatola di giunzione (modello 08335=A=6000) .
Tabella 1 Cablaggio dei sensori di conducibilità
Terminale Descrizione Sensore
8398 831x e 8394
1 Elettrodo interno Bianco (cavo bianco) Bianco
2 Elettrodo interno Nero (cavo bianco) —
3 Massa — Verde
4 — — —
5 — — —
6 — — —
7 Temp - Verde Nero
8 — — —
9 — — —
10 Temp + Giallo Giallo
11 Elettrodo esterno Marrone (cavo marrone) Rosso
12 Elettrodo esterno Nero (cavo marrone) —
Nella Fase 3 della seguente sequenza, impostare lo switch come indicato di seguito:
Impostazione dello switch Descrizione
Impostazione 1 Sensore di conducibilità di contatto
Impostazione 2 Sensore di conducibilità induttiva
46 Italiano

Italiano 47

48 Italiano

Funzionamento
Navigazione dell'utente
Consultare la sezione Interfaccia utente e navigazione della documentazione del controller per la
descrizione del tastierino numerico e informazioni sulla navigazione.
Configurazione del sensore
Configurazione del sensore di conducibilità di contatto
Utilizzare il menu CONFIGURE (Configura) per impostare le informazioni di identificazione del
sensore e per modificare le opzioni di memorizzazione e gestione dei dati.
1. Premere il tasto menu e selezionare SENSOR SETUP (Configurazione sensore) >[Selezionare
sensore]>CONFIGURE (Configura).
2. Selezionare un'opzione e premere invio.. Per inserire numeri, caratteri o segni di punteggiatura,
tenere premuto il tasto freccia su o giù. Premere il tasto freccia destra per spostarsi allo spazio
successivo.
Opzione Descrizione
MODIFICA NOME Consente di modificare il nome che corrisponde al sensore sulla parte superiore
della schermata di misurazione. Il nome è limitato a 16 caratteri in una
combinazione qualsiasi di lettere, numeri, spazi e punteggiatura. Solo i primi
12 caratteri vengono visualizzati sul controller.
S/N SENSORE Consente all'utente di inserire il numero di serie del sensore, limitato a 16 caratteri
in una combinazione qualsiasi di lettere, numeri, spazi e punteggiatura.
SELEZIONE MISURA Consente di modificare il parametro misurato commutando tra CONDUCTIVITY
(Conducibilità - predefinito), TDS (solidi totali disciolti), SALINITY (Salinità) e
RESISTIVITY (Resistività). Tutte le altre impostazioni configurate vengono
riportate ai valori predefiniti.
Nota: Selezionando SALINITY (Salinità), l'unità di misura impostata è ppt (parti
per mille) e non può essere modificata.
FORMATO DISPL Consente di modificare il numero di cifre decimali visualizzate sulla schermata di
misura. Se impostato su auto, il numero di cifre decimali cambia automaticamente
in relazione alle modifiche del valore misurato.
UNITA MISURA Consente di modificare le unità per la misura selezionata (selezionare l'unità
dall'elenco disponibile)
UNITÀ TEMP. Imposta le unità di temperatura in °C (predefinito) o °F.
COMPENSAZIONE T. Corregge il valore misurato in funzione della temperatura:
• NONE (Nessuna) — Non è richiesta alcuna compensazione della temperatura
• USP — Imposta il livello di allarme per la tabella di definizione USP standard
• ULTRA PURE WATER (Acqua ultrapura) — Non disponibile per TDS.
Impostare il tipo di compensazione in funzione delle caratteristiche del
campione — Selezionare NaCl , HCl, AMMONIA (Ammoniaca) o ULTRA PURE
WATER (Acqua ultrapura)
• USER (Utente) — Selezionare BUILT IN LINEAR (Lineare integrata), LINEAR
(Lineare) o TEMP TABLE (Tabella temperatura):
• BUILT IN LINEAR (Lineare integrata) — Utilizzare la tabella lineare
predefinita (pendenza pari a 2,0%/°C, temperatura di riferimento di 25 °C)
• LINEAR (Lineare) — Impostare i parametri della pendenza e della
temperatura di riferimento se diversi da quelli integrati
• TEMP TABLE (Tabella temperatura) — Impostare la temperatura e il fattore
di moltiplicazione (vedere Configurazione delle tabelle personalizzate
a pagina 51)
• NATURAL WATER (Acqua naturale) — Non disponibile per TDS
Italiano 49

Opzione Descrizione
CONFIG. TDS Solo TDS — consente di modificare il fattore utilizzato per convertire la
conducibilità a TDS: NaCl (0,49 ppm/µS) o CUSTOM (Personalizzato) (impostare
un fattore compreso tra 0,01 e 99,99 ppm/µS).
CABLE PARAM
Imposta i parametri del cavo del sensore per migliorare la precisione di
(Parametri cavo)
misurazione nel caso in cui il cavo abbia una lunghezza superiore o inferiore ai
5 m standard. Impostare la lunghezza del cavo, la resistenza e la capacitanza.
ELEMENTO TEMP. Imposta l'elemento della temperatura a PT100 o PT1000 per la compensazione
automatica della temperatura. Se non si utilizza alcun elemento, è possibile
selezionare il tipo MANUAL (Manuale) e impostare il valore per la compensazione
della temperatura.
FILTRO Imposta una costante di tempo per aumentare la stabilità del segnale. La costante
di tempo calcola il valore medio durante l'intervallo specificato — da 0 (nessun
effetto) a 60 secondi (media del valore del segnale per 60 secondi). Il filtro
aumenta il tempo di risposta del segnale del sensore alle modifiche del processo.
LOG SETUP (IMPOST
Imposta l'intervallo di tempo per la memorizzazione dei dati nel registro: 5,
REGISTRO)
30 secondi, 1, 2, 5, 10, 15 (predefinito), 30, 60 minuti.
RESET PREDEFINITI Imposta il menu di configurazione con i valori predefiniti. Tutte le informazioni sul
sensore vanno perse.
Configurazione del sensore di conducibilità induttivo
Utilizzare il menu CONFIGURE (Configura) per impostare le informazioni di identificazione del
sensore e per modificare le opzioni di memorizzazione e gestione dei dati.
1. Premere il tasto menu e selezionare SENSOR SETUP (Configurazione sensore) >[Selezionare
sensore]>CONFIGURE (Configura).
2. Selezionare un'opzione e premere invio. Per inserire numeri, caratteri o segni di punteggiatura,
tenere premuto il tasto freccia su o giù. Premere il tasto freccia destra per spostarsi allo spazio
successivo.
Opzione Descrizione
MODIFICA NOME Consente di modificare il nome che corrisponde al sensore sulla parte superiore
della schermata di misurazione. Il nome è limitato a 16 caratteri in una
combinazione qualsiasi di lettere, numeri, spazi e punteggiatura. Solo i primi
12 caratteri vengono visualizzati sul controller.
S/N SENSORE Consente all'utente di inserire il numero di serie del sensore, limitato a 16 caratteri
in una combinazione qualsiasi di lettere, numeri, spazi e punteggiatura.
SELEZIONE MISURA Modifica il parametro misurato commutando tra CONDUCTIVITY (Conducibilità -
predefinito), RESISTIVITY (Resistività), SALINITY (Salinità), TDS (Solidi totali
disciolti) e CONCENTRATION (Concentrazione). Tutte le altre impostazioni
configurate vengono riportate ai valori predefiniti.
Nota: Selezionando SALINITY (Salinità), l'unità di misura impostata è ppt (parti
per mille) e non può essere modificata.
FORMATO DISPL Consente di modificare il numero di cifre decimali visualizzate sulla schermata di
misura. Se impostato su auto, il numero di cifre decimali cambia automaticamente
in relazione alle modifiche del valore misurato.
UNITA MISURA Consente di modificare le unità per la misura selezionata (selezionare l'unità
dall'elenco disponibile)
UNITÀ TEMP. Imposta le unità di temperatura in °C (predefinito) o °F.
50 Italiano

Opzione Descrizione
COMPENSAZIONE T. Corregge il valore misurato in funzione della temperatura:
• LINEAR (Lineare) — Impostare i parametri pendenza e temperatura di
riferimento
• NATURAL WATER (Acqua naturale) — Non disponibile per TDS o
CONCENTRATION (Concentrazione)
• TEMP TABLE (Tabella temperatura) — Impostare la temperatura e il fattore di
moltiplicazione (vedere Configurazione delle tabelle personalizzate
a pagina 51)
• NONE (Nessuna) — Non è richiesta alcuna compensazione della temperatura
CONFIG. TDS Solo TDS — consente di modificare il fattore utilizzato per convertire la
conducibilità a TDS: NaCl (0,49 ppm/µS) o CUSTOM (Personalizzato) (impostare
un fattore compreso tra 0,01 e 99,99 ppm/µS).
CONFIG. CONC. Solo CONCENTRATION (Concentrazione) — imposta il tipo di tabella della
concentrazione da utilizzare.
• BUILT-IN (Integrata) — Impostare la sostanza chimica misurata:
• H2SO4 0-30%
• HNO3 0-28%
• HCl 0-18%
• NaOH 0-16%
Nota: Sebbene l'intervallo sia visualizzato come 0-16%, le tabelle possono
essere definite in modo più accurato come 0-10% per tutte le temperature.
• NaCl 0-25%
• H3PO4 0-40%
• USER TABLE (Tabella utente) — Impostare la conducibilità e la concentrazione
% (vedere Configurazione delle tabelle personalizzate a pagina 51)
ELEMENTO TEMP. Imposta l'elemento della temperatura a PT100 o PT1000 per la compensazione
automatica della temperatura. Se non si utilizza alcun elemento, è possibile
selezionare il tipo MANUAL (Manuale) e impostare il valore per la compensazione
della temperatura.
FILTRO Imposta una costante di tempo per aumentare la stabilità del segnale. La costante
di tempo calcola il valore medio durante l'intervallo specificato — da 0 (nessun
effetto) a 60 secondi (media del valore del segnale per 60 secondi). Il filtro
aumenta il tempo di risposta del segnale del sensore alle modifiche del processo.
LOG SETUP (IMPOST
Imposta l'intervallo di tempo per la memorizzazione dei dati nel registro: 5,
REGISTRO)
30 secondi, 1, 2, 5, 10, 15 (predefinito), 30, 60 minuti.
RESET PREDEFINITI Imposta il menu di configurazione con i valori predefiniti. Tutte le informazioni sul
sensore vanno perse.
Configurazione delle tabelle personalizzate
In funzione del tipo di sensore e di misurazione, è possibile configurare il sensore avvalendosi di
tabelle personalizzate. Di seguito si spiega come configurare una tabella personalizzata.
Tabelle di concentrazione
Come impostazione predefinita, questa tabella contiene solo 2 punti (P1 e P2) che definiscono i limiti
minimo e massimo. Una volta definiti P1 e P2, è possibile inserire dei punti aggiuntivi nell'intervallo.
Se si desidera ad esempio impostare la concentrazione e la conducibilità minima a zero e la
conducibilità massima a 750 con una concentrazione massima di 30, procedere come indicato di
seguito:
1. Dall'opzione USER TABLE (Tabella utente) selezionare P1>EDIT POINT (Modifica punto).
2. Impostare la conducibilità minima (X) a 0.0 e premere invio.
3. Impostare la concentrazione minima % (Y) a 0.0 e premere invio.
Italiano
51

4. Selezionare SAVE CHANGES? (Salva modifiche?) e premere invio.
5. Dall'opzione USER TABLE (Tabella utente) selezionare P2>EDIT POINT (Modifica punto).
6. Impostare la conducibilità massima (X) a 750.0 e premere invio.
7. Impostare la concentrazione massima % (Y) a 30.0 e premere invio.
8. Selezionare SAVE CHANGES? (Salva modifiche?) e premere invio.
La procedura ha consentito di definire la seguente tabella:
Conducibilità Concentrazione%
P1 0 0
P2 750 30
Per inserire un nuovo punto con una conducibilità di 250 e una concentrazione di 15, selezionare il
punto il cui valore di conducibilità sia immediamente al di sopra del valore da inserire. In questo
esempio selezionare P2. Il nuovo valore di conducibilità di 250 diventerà P2 mentre il precedente
P2 diventerà P3 come indicato di seguito:
1. Dall'opzione USER TABLE (Tabella utente) selezionare P2>EDIT POINT (Modifica punto).
2. Impostare la conducibilità (X) a 250.0 e premere invio.
3. Impostare la concentrazione % (Y) a 15.0 e premere invio.
4. Selezionare SAVE CHANGES? (Salva modifiche?) e premere invio.
La nuova definizione della tabella sarà:
Conducibilità Concentrazione%
P1 0 0
P2 250 15
P3 750 30
È possibile aggiungere nuovi punti fino a un massimo di P10.
Nota: Il valore di conducibilità preso in considerazione è la temperatura compensata in base all'opzione di
compensazione configurata.
Tabelle della temperatura
Il processo è simile a quello descritto per le tabelle di concentrazione, ma il valore X indica la
temperatura mentre il valore Y è un fattore utilizzato per moltiplicare il valore di conducibilità non
compensato in modo da ottenere il valore di conducibilità compensata della temperatura.
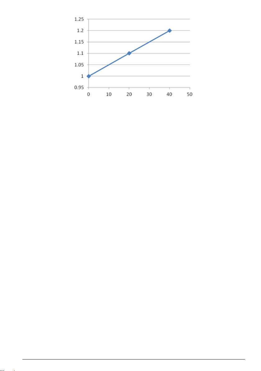
Per esempio, se la tabella della temperatura fosse configurata come indicato di seguito:
Temperatura Valore
P1 0 1
P2 20 1,1
P3 40 1,2
La tabella potrebbe essere rappresentata graficamente come segue:
52
Italiano

Il grafico mostra che una temperatura di 10° corrisponde a un fattore di 1.05. Quindi, un valore di
conducibilità non compensato di 10 mZ/cm a 10° produrrà un valore compensato di temperatura di
10.5 mS/cm (ossia, 10 mS/cm moltiplicato per un fattore di 1.05).
Calibrazione del sensore
Informazioni sulla calibrazione del sensore
Nel corso del tempo, le caratteristiche del sensore cambiano e ne compromettono la precisione. Il
sensore deve essere calibrato regolarmente per garantirne la precisione. La frequenza di
calibrazione varia in base all'applicazione ed è determinata dall'esperienza.
Sensori di conducibilità di contatto: Utilizzare l'aria (calibrazione zero) e il campione di processo
per definire la curva di calibrazione. Quando si utilizza il campione di processo, il valore di riferimento
deve essere determinato avvalendosi di uno strumento di verifica certificato.
Sensori di conducibilità induttiva: Utilizzare l'aria (calibrazione zero) e una soluzione di riferimento
o un campione di processo per definire la curva di calibrazione. Per una maggiore precisione, si
raccomanda la calibrazione con soluzione di riferimento. Quando si utilizza il campione di processo,
il valore di riferimento deve essere determinato avvalendosi di uno strumento di verifica certificato.
Limiti di calibrazione
La calibrazione non si conclude correttamente se il valore è pari a ± 10% del valore target.
Costante cella
Prima di eseguira una calibrazione, verificare che i parametri della cella del sensore siano corretti.
1. Premere il tasto menu e selezionare SENSOR SETUP (Configurazione sensore) >[Selezionare
sensore]>CALIBRATE (Calibra).
2. Se è impostata una password nel menu di sicurezza per il controller, digitarla.
3. Selezionare CELL CONSTANT (Costante cella) e premere invio.
4. Sensori di conducibilità di contatto: Selezionare l'intervallo K della cella per il sensore (0,01,
0,1 o 1,0) quindi immettere il valore K riportato sull'etichetta applicata sul sensore.
Sensori di conducibilità induttivi: Immettere il valore K riportato sull'etichetta applicata sul
sensore.
Procedura di calibrazione dello zero
Utilizzare la procedura di calibrazione dello zero per definire il punto zero univoco del sensore.
1. Rimuovere il sensore dal processo. Asciugare accuratamente il sensore con un panno pulito.
2. Premere il tasto menu e selezionare SENSOR SETUP (Configurazione sensore) >[Selezionare
sensore]>CALIBRATE (Calibra).
3. Se è impostata una password per il controller nel menu sicurezza, digitarla.
4. Selezionare ZERO CAL (Calibrazione zero) e premere invio.
Italiano
53

5. Selezionare l'opzione per il segnale di output durante la calibrazione:
Opzione Descrizione
ACTIVE (ATTIVO) Lo strumento invia il valore di output misurato corrente durante la procedura di
calibrazione.
HOLD (MANTIENI) Il valore di output del sensore viene tenuto al valore misurato corrente durante
la procedura di calibrazione.
TRANSFER
Un valore di output predefinito viene inviato durante la calibrazione. Per
(TRASFERISCI)
modificare il valore predefinito, fare riferimento al manuale dell'utente del
controller.
6. Collocare il sensore in aria e premere invio.
7. Risultato della calibrazione:
• PASS (RIUSCITA) - il sensore è calibrato e pronto a misurare i campioni.
• FAIL (FALLITA) - la calibrazione non rientra nei limiti accettati. Pulire il sensore e riprovare. Per
ulteriori informazioni, fare riferimento a Risoluzione dei problemi a pagina 59.
8. Se la calibrazione è riuscita, premere invio per continuare.
9. Se l'opzione per ID operatore è impostata a SÌ nel menu CAL OPTIONS (Opzioni calibrazione),
digitare un ID operatore. Fare riferimento a Cambiare le opzioni di calibrazione a pagina 58.
10. Nella schermata NEW SENSOR (Nuovo sensore), selezionare se il sensore è nuovo:
Opzione Descrizione
YES (SÌ) Il sensore non è stato calibrato precedentemente con questo controller. I giorni di funzionamento e
le curve di calibrazione precedenti per il sensore sono ripristinati.
NO Il sensore è stato calibrato precedentemente con questo controller.
11. Riportare il sensore al processo e premere invio. Il segnale di output torna allo stato attivo e il
valore del campione misurato viene mostrato sulla schermata di misurazione.
Nota: Se la modalità di output è impostata su Hold o Transfer, selezionare il tempo di ritardo quando gli output
tornano allo stato attivo.
Calibrazione con il campione di processo
Il sensore può rimanere nel campione di processo, oppure un'aliquota del campione di processo può
essere prelevata per la calibrazione.
1. Premere il tasto menu e selezionare SENSOR SETUP (Configurazione sensore) >[Selezionare
sensore]>CALIBRATE (Calibra).
2. Se è impostata una password per il controller nel menu sicurezza, digitarla.
3. Selezionare SAMPLE CAL (Calibrazione campione) e premere invio.
4. Selezionare l'opzione per il segnale di output durante la calibrazione:
Opzione Descrizione
ACTIVE (ATTIVO) Lo strumento invia il valore di output misurato corrente durante la procedura di
calibrazione.
HOLD (MANTIENI) Il valore di output del sensore viene tenuto al valore misurato corrente durante
la procedura di calibrazione.
TRANSFER
Un valore di output predefinito viene inviato durante la calibrazione. Per
(TRASFERISCI)
modificare il valore predefinito, fare riferimento al manuale dell'utente del
controller.
5. Con il sensore immerso nel campione di processo, premere invio. Viene visualizzato il valore
misurato. Attendere che il valore si stabilizzi e premere invio.
6. Misurare il valore della conducibilità con uno strumento di verifica certificato. Utilizzare i tasti
freccia per impostare questo valore qualora differisca da quello visualizzato e premere invio.
54
Italiano

7. Risultato della calibrazione:
• PASS (RIUSCITA) - il sensore è calibrato e pronto a misurare i campioni.
• FAIL (FALLITA)—la calibrazione non rientra nei limiti accettati. Pulire il sensore e riprovare.
Per ulteriori informazioni, fare riferimento a Risoluzione dei problemi a pagina 59.
8. Se la calibrazione è riuscita, premere invio per continuare.
9. Se l'opzione per ID operatore è impostata a SÌ nel menu CAL OPTIONS (Opzioni calibrazione),
digitare un ID operatore. Fare riferimento a Cambiare le opzioni di calibrazione a pagina 58.
10. Nella schermata NEW SENSOR (Nuovo sensore), selezionare se il sensore è nuovo:
Opzione Descrizione
YES (SÌ) Il sensore non è stato calibrato precedentemente con questo controller. I giorni di funzionamento e
le curve di calibrazione precedenti per il sensore sono ripristinati.
NO Il sensore è stato calibrato precedentemente con questo controller.
11. Riportare il sensore al processo e premere invio. Il segnale di output torna allo stato attivo e il
valore del campione misurato viene mostrato sulla schermata di misurazione.
Nota: Se la modalità di output è impostata su Hold o Transfer, selezionare il tempo di ritardo quando gli output
tornano allo stato attivo.
Calibrazione con una soluzione di riferimento (sensori di conducibilità induttivi)
La calibrazione regola la lettura del sensore affinché corrisponda al valore di una soluzione di
riferimento. Utilizzare una soluzione di riferimento che sia allo stesso valore o a un valore superiore
delle letture di misurazione attese.
Nota: Se il sensore viene calibrato per la prima volta, accertarsi di completare prima la calibrazione dello zero.
1. Sciacquare accuratamente il sensore pulito in acqua deionizzata.
2. Premere il tasto menu e selezionare SENSOR SETUP (Configurazione sensore) >[Selezionare
sensore]>CALIBRATE (Calibra).
3. Se è impostata una password nel menu di sicurezza per il controller, digitarla.
4. Selezionare SOLN CAL (Calibrazione soluzione) e premere invio.
5. Selezionare l'opzione per il segnale di output durante la calibrazione:
Opzione Descrizione
ACTIVE (ATTIVO) Lo strumento invia il valore di output misurato corrente durante la procedura di
calibrazione.
HOLD (MANTIENI) Il valore di output del sensore viene tenuto al valore misurato corrente durante
la procedura di calibrazione.
TRANSFER
Un valore di output predefinito viene inviato durante la calibrazione. Per
(TRASFERISCI)
modificare il valore predefinito, fare riferimento al manuale dell'utente del
controller.
6. Posizionare il sensore nella soluzione di riferimento. Verificare che l'area sensibile sia
completamente immersa nella soluzione. Agitare il sensore per rimuovere le bolle.
7. Attendere che il sensore e la temperatura della soluzione si equalizzino. Possono essere
necessari 30 minuti o un tempo maggiore se la differenza di temperatura tra il processo e la
soluzione di riferimento è significativa.
8. Con il sensore immerso nella soluzione di riferimento, premere invio.
9. Utilizzare i tasti freccia per impostare la temperatura della soluzione di riferimento e premere
invio.
10. Utilizzare i tasti freccia per impostare la pendenza della soluzione di riferimento e premere invio.
Viene visualizzato il valore misurato. Attendere che il valore si stabilizzi.
11. Utilizzare i tasti freccia per impostare il valore di riferimento e premere invio.
12. Risultato della calibrazione:
Italiano
55

• PASS (RIUSCITA) - il sensore è calibrato e pronto a misurare i campioni. Viene visualizzato il
nuovo valore K della costante di cella.
• FAIL (FALLITA) - la pendenza o l'offset di calibrazione non rientra nei limiti accettati. Pulire il
sensore e riprovare con una soluzione di riferimento nuova. Per ulteriori informazioni, fare
riferimento a Risoluzione dei problemi a pagina 59.
13. Se la calibrazione è riuscita, premere invio per continuare.
14. Se l'opzione per ID operatore è impostata a SÌ nel menu CAL OPTIONS (Opzioni calibrazione),
digitare un ID operatore. Fare riferimento a Cambiare le opzioni di calibrazione a pagina 58.
15. Nella schermata NEW SENSOR (Nuovo sensore), selezionare se il sensore è nuovo:
Opzione Descrizione
YES (SÌ) Il sensore non è stato calibrato precedentemente con questo controller. I giorni di funzionamento e
le curve di calibrazione precedenti per il sensore sono ripristinati.
NO Il sensore è stato calibrato precedentemente con questo controller.
16. Riportare il sensore al processo e premere invio. Il segnale di output torna allo stato attivo e il
valore del campione misurato viene mostrato sulla schermata di misurazione.
Nota: Se la modalità di output è impostata su Hold o Transfer, selezionare il tempo di ritardo quando gli output
tornano allo stato attivo.
Calibrazione del resistore (sensori di conducibilità di contatto)
Questo tipo di calibrazione viente talvolta definito come calibrazione elettrica ed è utilizzato per
verificare la connessione elettrica piuttosto che il sensore stesso.
1. Premere il tasto menu e selezionare SENSOR SETUP (Configurazione sensore) >[Selezionare
sensore]>CALIBRATE (Calibra).
2. Se è impostata una password nel menu di sicurezza per il controller, digitarla.
3. Selezionare RESISTOR CAL (Calibrazione resistore) e premere invio.
4. Selezionare l'opzione per il segnale di output durante la calibrazione:
Opzione Descrizione
ACTIVE (ATTIVO) Lo strumento invia il valore di output misurato corrente durante la procedura di
calibrazione.
HOLD (MANTIENI) Il valore di output del sensore viene tenuto al valore misurato corrente durante
la procedura di calibrazione.
TRANSFER
Un valore di output predefinito viene inviato durante la calibrazione. Per
(TRASFERISCI)
modificare il valore predefinito, fare riferimento al manuale dell'utente del
controller.
5. Scollegare il sensore dal relativo cavo e premere invio. Collegare un resistore NIST da 50 kΩ,
5 kΩ, 500 Ω, o 50 Ω (accuratezza ±0,05%) ai pin 2-3 del cavo del sensore e premere invio.
Utilizzare i tasti freccia per impostare il valore del resistore e premere invio.
6. Risultato della calibrazione:
• PASS (RIUSCITA) - la calibrazione è riuscita.
• FAIL (FALLITA)—la costante di cella non rientra nei limiti accettati. Pulire il sensore e
riprovare. Per ulteriori informazioni, fare riferimento a Risoluzione dei problemi a pagina 59.
7. Se la calibrazione è riuscita, premere invio per continuare.
8. Se l'opzione per ID operatore è impostata a SÌ nel menu CAL OPTIONS (Opzioni calibrazione),
digitare un ID operatore. Fare riferimento a Cambiare le opzioni di calibrazione a pagina 58.
56
Italiano

9. Nella schermata NEW SENSOR (Nuovo sensore), selezionare se il sensore è nuovo:
Opzione Descrizione
YES (SÌ) Il sensore non è stato calibrato precedentemente con questo controller. I giorni di funzionamento e
le curve di calibrazione precedenti per il sensore sono ripristinati.
NO Il sensore è stato calibrato precedentemente con questo controller.
10. Ricollegare il sensore, riportarlo al processo e premere invio. Il segnale di output torna allo stato
attivo e il valore del campione misurato viene mostrato sulla schermata di misurazione.
Nota: Se la modalità di output è impostata su Hold o Transfer, selezionare il tempo di ritardo quando gli output
tornano allo stato attivo.
Calibrazione del resistore (sensori di conducibilità induttiva)
Questo tipo di calibrazione viente talvolta definito come calibrazione elettrica ed è utilizzato per
verificare la connessione elettrica piuttosto che il sensore stesso.
1. Premere il tasto menu e selezionare SENSOR SETUP (Configurazione sensore) >[Selezionare
sensore]>CALIBRATE (Calibra).
2. Se è impostata una password nel menu di sicurezza per il controller, digitarla.
3. Selezionare RESISTOR CAL (Calibrazione resistore) e premere invio.
4. Selezionare l'opzione per il segnale di output durante la calibrazione:
Opzione Descrizione
ACTIVE (ATTIVO) Lo strumento invia il valore di output misurato corrente durante la procedura di
calibrazione.
HOLD (MANTIENI) Il valore di output del sensore viene tenuto al valore misurato corrente durante
la procedura di calibrazione.
TRANSFER
Un valore di output predefinito viene inviato durante la calibrazione. Per
(TRASFERISCI)
modificare il valore predefinito, fare riferimento al manuale dell'utente del
controller.
5.
Rimuovere il sensore dal campione. Applicare una resistenza di 5 kΩ, 500 Ω, 50 Ω, o 5 Ω al
sensore e premere invio. Premere invio quando il valore del resistore visualizzato è stabile.
Utilizzare i tasti freccia per impostare il valore attuale del resistore e premere invio.
6. Risultato della calibrazione:
• PASS (RIUSCITA) - la calibrazione è riuscita.
• FAIL (FALLITA) - la pendenza o l'offset di calibrazione non rientra nei limiti accettati. Pulire il
sensore e riprovare. Per ulteriori informazioni, fare riferimento a Risoluzione dei problemi
a pagina 59.
7. Se la calibrazione è riuscita, premere invio per continuare.
8. Se l'opzione per ID operatore è impostata a SÌ nel menu CAL OPTIONS (Opzioni calibrazione),
digitare un ID operatore. Fare riferimento a Cambiare le opzioni di calibrazione a pagina 58.
Italiano
57

9. Nella schermata NEW SENSOR (Nuovo sensore), selezionare se il sensore è nuovo:
Opzione Descrizione
YES (SÌ) Il sensore non è stato calibrato precedentemente con questo controller. I giorni di funzionamento e
le curve di calibrazione precedenti per il sensore sono ripristinati.
NO Il sensore è stato calibrato precedentemente con questo controller.
10. Ricollegare il sensore, riportarlo al processo e premere invio. Il segnale di output torna allo stato
attivo e il valore del campione misurato viene mostrato sulla schermata di misurazione.
Nota: Se la modalità di output è impostata su Hold o Transfer, selezionare il tempo di ritardo quando gli output
tornano allo stato attivo.
Calibrazione della temperatura
Il sensore della temperatura è stato calibrato in fabbrica. Tuttavia, si consiglia di calibrare sempre il
sensore della temperatura prima di calibrare il sensore di misurazione.
1. Immergere il sensore in un contenitore di acqua a una temperatura nota. Misurare la temperatura
dell'acqua con un termometro accurato o uno strumento indipendente.
2. Premere il tasto menu e selezionare SENSOR SETUP (Configurazione sensore) >[Selezionare
sensore]>CALIBRATE (Calibra).
3. Se è impostata una password per il controller nel menu sicurezza, digitarla.
4. Selezionare 1 PT TEMP CAL (Calibrazione temperatura 1 punto) e premere invio.
5. Viene visualizzato il valore della temperatura. Premere Invio.
6. Digitare il valore corretto se diverso da quello visualizzato e premere invio.
7. Premere invio per confermare la calibrazione.
Procedura di uscita dalla calibrazione
L'utente può interrompere la calibrazione in corso premendo il tasto indietro.
1. Premere il tasto indietro durante la calibrazione. Sono mostrate tre opzioni:
Opzione Descrizione
ESCI CALIBRAZIONE Interrompe la calibrazione. Una nuova calibrazione deve riprendere dall'inizio.
TORNA A CAL Torna alla calibrazione.
ABBAN CALIBRAZIONE Esce temporaneamente dalla calibrazione. È consentito l'accesso ad altri menu.
Per tornare alla calibrazione, premere il tasto menu e selezionare SENSOR
SETUP (Configurazione sensore).
2. Utilizzare i tasti freccia per selezionare un'opzione e premere invio.
Cambiare le opzioni di calibrazione
L'utente può utilizzare questo menu per impostare un promemoria per la calibrazione oppure
includere un ID operatore nei dati di calibrazione.
1. Premere il tasto menu e selezionare SENSOR SETUP (Configurazione sensore) >[Selezionare
sensore]>CALIBRATE (Calibra).
2. Se è impostata una password per il controller nel menu sicurezza, digitarla.
58
Italiano

3. Selezionare CAL OPTIONS (Opzioni calibrazione) e premere invio.
4. Utilizzare i tasti freccia per selezionare un'opzione e premere invio.
Opzione Descrizione
PROMEM CALIBRAZIONE Imposta un promemoria per la calibrazione successiva in giorni, mesi o anni.
Selezionare dall'elenco l'intervallo desiderato.
OP ID SU CALIB Include un ID operatore nei dati di calibrazione: SÌ o NO (predefinito). L'ID viene
inserito durante la calibrazione.
Risoluzione dei problemi
Dati intermittenti
Durante la calibrazione, i dati non vengono inviati al registro che quindi conterrà degli spazi vuoti.
Test del sensore di conducibilità di contatto
Figura 1 Connettore del sensore
1 Elettrodi 2 Pt100
1. Scollegare il sensore dal modulo.
2. Elettrodi: Controllare l'isolamento tra i due elettrodi. Quando il sensore è asciutto ed esposto
all'aria, la resistenza deve essere infinita.
3. Pt100: Confrontare la resistenza misurata direttamente sul connettore con i valori riportati di
seguito:
Temperatura (°C) Resistenza (Ω)
0 100,00
10 103,90
20 107,70
30 111,67
40 115,54
50 119,40
60 123,24
70 127,07
80 130,89
90 134,70
100 138,50
Italiano 59

Test del sensore di conducibilità induttivo
In caso di dubbi sul funzionamento del sensore, scollegarlo dal controller ma non spostarlo dal
processo di campionamento. Controllare i seguenti valori della resistenza sui terminali indicati
(consultare anche la tabella dei cablaggi Tabella 1 a pagina 46):
Collegamenti del cablaggio Resistenza
Terminali 7-10 (Sensore della temperatura Pt100) ≈ 110 Ω (a 25 °C)
Terminali 1-2 (Bobina secondaria) ≈ 1—2 Ω
Terminali 11-12 (Bobina primaria) ≈ 1—2 Ω
Se i controlli non generano alcun valore di resistenza errato, si può dedurre che il sensore funzioni
correttamente.
Se la misurazione continua a non essere soddisfacente, procedere come indicato di seguito:
1. Impostare T-COMPENSATION (Compensazione T) a NONE (Nessuna) (vedere Configurazione
del sensore di conducibilità induttivo a pagina 50).
2. Eseguire una ZERO CALIBRATION (Calibrazione zero) del sensore (vedere Procedura di
calibrazione dello zero a pagina 53).
3. Eseguire una RESISTOR CALIBRATION (Calibrazione resistore) del sensore (vedere
Calibrazione del resistore (sensori di conducibilità induttiva) a pagina 57).
4. Controllare i seguenti parametri:
Conducibilità visualizzata (K = 2,35) Resistenza simulata
470 μS/cm 5 kΩ
4,7 mS/cm 500 Ω
47 mS/cm 50 Ω
470 mS/cm 5 Ω
Menu test e diagnostica sensore
Il menu test e diagnostica sensore mostra le informazioni attuali e cronologiche dello strumento. Fare
riferimento a Tabella 2.
Per accedere al menu test e diagnostica sensore, premere il tasto menu e selezionare SENSOR
SETUP (Configurazione sensore)>[Selezionare il sensore]>DIAG/TEST (Diagnostica/Test).
Tabella 2 Menu DIAG/TEST sensore
Opzione Descrizione
INFO SU MODULO Mostra le informazioni sul modulo del sensore.
INFO SENSORE Mostra il nome e il numero di serie inseriti dall'utente.
GIORNI CALIBRAZIONE Mostra il numero di giorni dall'ultima calibrazione.
CAL HISTORY (CRONOL. CAL) Mostra un elenco di tutte le calibrazioni in ordine di
data/ora. Utilizzare i tasti freccia per selezionare una
calibrazione e premere invio per visualizzarne i
dettagli.
RESET CRONOL CALIB Azzera la cronologia delle calibrazioni del sensore (è
necessario un codice di accesso di livello assistenza).
Tutti i dati di calibrazioni precedenti vanno persi.
60 Italiano

