Ivoclar Vivadent IPS PressVEST: IPS e.max Press / IPS e.max ZirPress / IPS InLine PoM
IPS e.max Press / IPS e.max ZirPress / IPS InLine PoM: Ivoclar Vivadent IPS PressVEST

Ο χρόνο εργασία εξαρτάται από τη θεροκρασία του υλικού, την ποσότητα υλικού που αναιγνύεται, το
χρόνο ανάιξη και την ταχύτητα ανάιξη. Υψηλότερη θεροκρασία του υλικού ή/και παρατεταένο χρόνο
ανάιξη συντοεύουν το χρόνο εργασία.
Επένδυση
– Αναίξτε το πολύ 400 g υλικού επένδυση συγχρόνω.
– Τηρείτε αυστηρά τι αναλογίε ανάιξη!
– Η επένδυση πραγατοποιείται σε συσκευή δόνηση ε ελαφριά δόνηση. Αφήστε το δακτύλιο επένδυση να
πήξει χωρί να τον πειράξετε.
Ορισένοι παράγοντε που επηρεάζουν τη διαστολή κατά την πήξη του υλικού επένδυση
– Θεροκρασία του υλικού και του υγρού επένδυση
– Υπόλοιπο νερό στο κύπελλο ανάιξη, ατοσφαιρική υγρασία
Χρόνοι προθέρανση / αναονή
Αρχική θεροκρασία
Θεροκρασία δωατίου
Αύξηση θεροκρασία
5 °C ανά λεπτό
Χρόνο αναονή
30 λεπτά στου 250 °C
ακτύλιο επένδυση 100 g – ελάχιστο 45 λεπτά
Χρόνο αναονή ετά την ανάκτηση τη τελική
ακτύλιο επένδυση 200 g – ελάχιστο 60 λεπτά
θεροκρασία προθέρανση στου 850 °C
ακτύλιο επένδυση 300 g – ελάχιστο 90 λεπτά
Εάν προθεραίνονται περισσότεροι από 2 δακτύλιοι επένδυση ταυτόχρονα, ο χρόνο αναονή στην τελική
θεροκρασία πρέπει να παραταθεί κατά 15 λεπτά ανά πρόσθετο δακτύλιο επένδυση.
Χρόνοι προθέρανση ράβδων και εβόλων Alox
®
®
®
IPS e.max
Press / IPS e.max
ZirPress / IPS InLine
PoM
Ράβδο Μην προθεράνετε
Έβολο Alox Μην προθεράνετε
®
IPS Empress
Esthetic
Ράβδο Προθέρανση
Έβολο Alox Προθέρανση
Έβολο IPS One-Way-Plunger Μην προθεράνετε
®
IPS Empress
Cosmo
Ράβδο Μην προθεράνετε
Έβολο Alox Προθέρανση
Σηαντικέ πληροφορίε
– Μη χρησιοποιείτε υλικό επιφανειακή τάση (επιφανειοδραστικό). Μπορεί να προκληθούν αντιδράσει ε το
υλικό επένδυση.
– Συνεπή αποτελέσατα πορούν να επιτευχθούν όνο υπό σταθερέ συνθήκε και ε την τήρηση των οδηγιών
χρήση.
– Αραιώστε το υγρό αποκλειστικά ε αποσταγένο ή απιονισένο νερό.
– Συγκέντρωση υγρού: Η αύξηση του ποσοστού του αποσταγένου ή απιονισένου νερού που προστίθεται στο
υγρό ανάιξη θα χαηλώσει το ποσοστό διαστολή κατά την πήξη. Μην αραιώσετε το υγρό σε λιγότερο από
50%.
– Χρησιοποιείτε όνο στεγνά και καθαρά εργαλεία ε το υλικό επένδυση. Μη χρησιοποιήσετε κύπελα
ανάιξη που έχουν χρησιοποιηθεί ε γύψο.
– Ανοίξτε κόβοντα προσεκτικά τι σακούλε ε την πούδρα και αφαιρέσετε ολόκληρο το περιεχόενό του.
– Οι προβλεπόενοι ελάχιστοι χρόνοι πήξη και αναονή πρέπει να τηρούνται αυστηρά.
– Η επένδυση δεν πρέπει να πραγατοποιείται υπό πίεση, διότι κάτι τέτοιο αλλάζει τι ιδιότητε του προϊόντο.
– Η επένδυση δεν πρέπει να πραγατοποιείται κατά τη διάρκεια του Σαββατοκύριακου (κίνδυνο ρωγών και
ανάφλεξη του κλιβάνου πρεσαρίσατο)
48

Για να διασφαλιστεί η πλήρη θέρανση των δακτυλίων επένδυση στον κλίβανο
προθέρανση, πρέπει να τηρούνται τα ακόλουθα σηεία:
– Τοποθετείτε του δακτυλίου επένδυση πάντα σε δροσερό κλίβανο προθέρανση.
– Φορτώνετε τον κλίβανο προθέρανση το πολύ έχρι το ισό του διαθέσιου ωφέλιου χώρου του.
– Τοποθετείτε του δακτυλίου επένδυση πάντα στο οπίσθιο έρο του κλιβάνου προθέρανση.
– Τοποθετείτε πάντα του δακτυλίου επένδυση στον κλίβανο προθέρανση ε το άνοιγα προ τα κάτω και
υπό γωνία 45°, εάν είναι δυνατόν.
– Μην τοποθετείτε του δακτυλίου επένδυση σε άεση επαφή εταξύ του. Επιτρέψτε την κυκλοφορία αέρα.
– Να αφαιρείτε πάντα του πρεσαρισένου δακτυλίου από τον κλίβανο πρεσαρίσατο αέσω ετά το τέλο
του προγράατο και να του τοποθετείτε σε πλέγα για να κρυώσουν.
– Κατά την αφαίρεση, διασφαλίστε ότι αοβολείτε (πίεση 4 bar) όνο την περίσσεια του υλικού επένδυση και
όχι το κεραικό αντικείενο.
ΣΗΜΑΝΤΙΚΟ! Επισηάνσει ασφαλεία
– Μην ανοίγετε τον κλίβανο κατά τα πρώτα 20 λεπτά τη προθέρανση: Οι ατοί του κεριού πορεί να
αναφλεγούν εάν εκτεθούν στον αέρα και να προκαλέσουν έγκαυα!
– Αυτό το υλικό περιέχει χαλαζία, ο οποίο πορεί να προκαλέσει πνευονικέ παθήσει (πυριτίαση ή καρκίνο)
σε περίπτωση εισπνοή. Αποφεύγετε την εισπνοή τη σκόνη και φοράτε κατάλληλη άσκα προστασία από
τη σκόνη.
Φυσικέ ιδιότητε
(σύφωνα ε ISO 15912:2006)
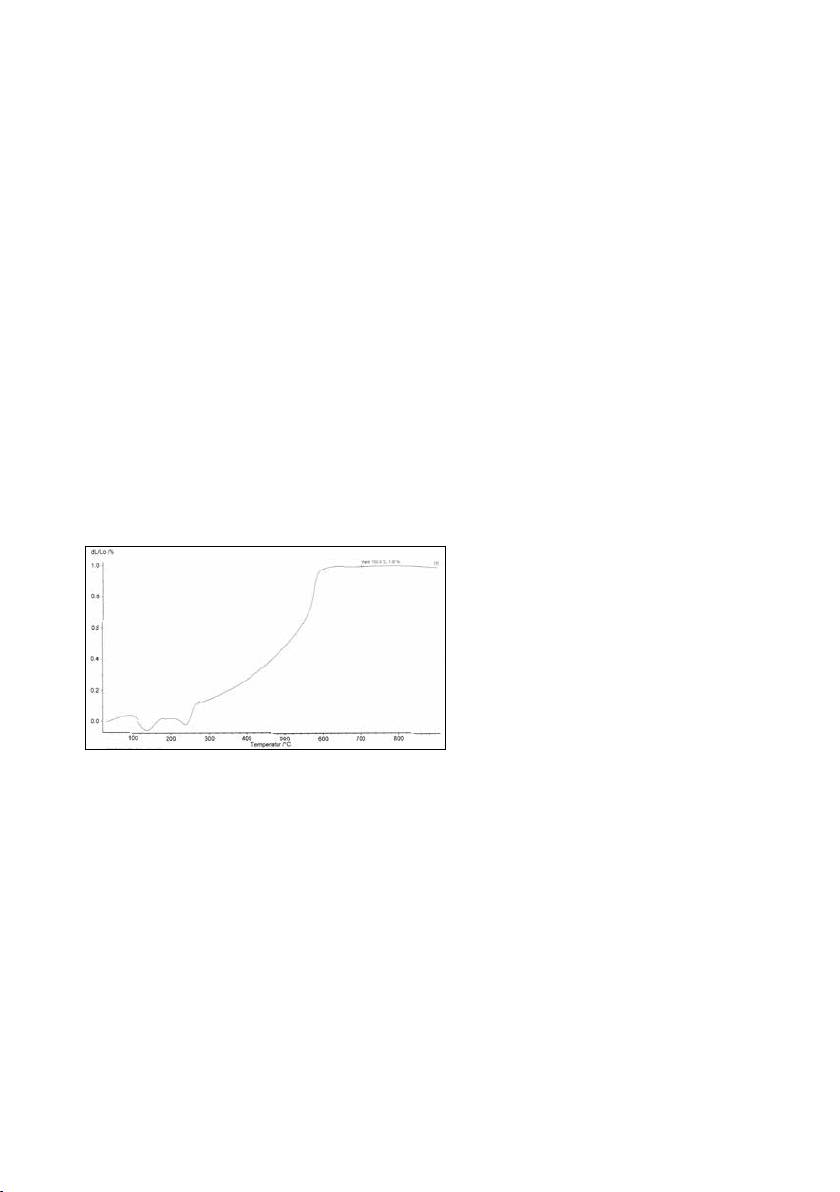
– Χαρακτηριστικά ροή: 152 mm Συγκέντρωση υγρού 60%
– Αρχική πήξη: 8,15 λεπτά Συγκέντρωση υγρού 60%
– Αντοχή στη θλίψη: 3,4 MPa Συγκέντρωση υγρού 60%
– Γραική θερική διαστολή: 0,97 % Συγκέντρωση υγρού 60%
Το υλικό αυτό κατασκευάστηκε για χρήση στον οδοντιατρικό τοέα. Οι διαδικασίε πρέπει να ακολουθούνται σχολαστικά και ακολουθώντα
αυστηρά τι οδηγίε χρήση. Απαιτήσει για βλάβε που πορεί να προκληθούν από η ορθή ακολουθία των οδηγιών ή από χρήση σε η
ρητώ ενδεικνυόενη περιοχή, είναι απαράδεκτε. Επιπλέον ο χρήστη είναι υποχρεωένο να ελέγχει ε δική του ευθύνη την
καταλληλότητα και τη δυνατότητα χρήση του προϊόντο για τον προβλεπόενο σκοπό πριν την εφαρογή, ιδιαίτερα εάν ο συγκεκριένο
σκοπό δεν αναφέρεται στι πληροφορίε χρήση. Περιγραφέ και στοιχεία δεν αποτελούν εγγύηση των ιδιοτήτων και δεν είναι δεσευτικά.
49
Оглавление
- IPS e.max Press
- IPS e.max ZirPress
- IPS e.max Press / IPS e.max ZirPress / IPS InLine PoM
- IPS e.max Press
- IPS e.max ZirPress
- IPS e.max Press / IPS e.max ZirPress / IPS InLine PoM
- IPS e.max Press
- IPS e.max ZirPress
- IPS e.max Press / IPS e.max ZirPress / IPS InLine PoM
- IPS e.max Press
- IPS e.max ZirPress
- IPS e.max Press / IPS e.max ZirPress / IPS InLine PoM
- IPS e.max Press
- IPS e.max ZirPress
- IPS e.max Press / IPS e.max ZirPress / IPS InLine PoM
- IPS e.max Press
- IPS e.max ZirPress
- IPS e.max Press / IPS e.max ZirPress / IPS InLine PoM
- IPS e.max Press
- IPS e.max ZirPress
- IPS e.max Press / IPS e.max ZirPress / IPS InLine PoM
- IPS e.max Press
- IPS e.max ZirPress
- IPS e.max Press / IPS e.max ZirPress / IPS InLine PoM
- IPS e.max Press
- IPS e.max ZirPress
- IPS e.max Press / IPS e.max ZirPress / IPS InLine PoM
- IPS e.max Press
- IPS e.max ZirPress
- IPS e.max Press / IPS e.max ZirPress / IPS InLine PoM
- IPS e.max Press
- IPS e.max ZirPress
- IPS e.max Press / IPS e.max ZirPress / IPS InLine PoM
- IPS e.max Press
- IPS e.max ZirPress
- IPS e.max Press / IPS e.max ZirPress / IPS InLine PoM
- IPS e.max Press
- IPS e.max ZirPress
- IPS e.max Press / IPS e.max ZirPress / IPS InLine PoM
- IPS e.max Press
- IPS e.max ZirPress
- IPS e.max Press / IPS e.max ZirPress / IPS InLine PoM
- IPS e.max Press
- IPS e.max ZirPress
- IPS e.max Press / IPS e.max ZirPress / IPS InLine PoM
- Ivoclar Vivadent – worldwide

