Ivoclar Vivadent IPS PressVEST: IPS e.max Press / IPS e.max ZirPress / IPS InLine PoM
IPS e.max Press / IPS e.max ZirPress / IPS InLine PoM: Ivoclar Vivadent IPS PressVEST

Valu
– Sekoita enintään 400 g valumateriaalia kerralla.
– Noudata sekoitussuhdetta tarkasti!
– Valu tehdään ravistelijan päällä vähäisellä värinällä. Älä koske valurenkaaseen kovettumisen aikana.
Seuraavat tekijät vaikuttavat valumateriaalin kovettumislaajenemiseen
– Valumateriaalin ja -nesteen lämpötila
– Jäännösvesi sekoituskupissa, ympäristön kosteus
Esikuumennus-/pitoajat
Aloituslämpötila Huonelämpötila
Lämpötilan nousu 5 °C / min.
Pitoaika 30 min. 250 °C:ssa
100 g:n valurengas – min. 45 min
Pitoaika sen jälkeen, kun lopullinen lämpötila
200 g:n valurengas – min. 60 min
850 °C on saavutettu
300 g:n valurengas – min. 90 min
Mikäli samalla kerralla esikuumennetaan useampi kuin 2 rengasta, pitoaikaa lopullisessa lämpötilassa on
lisättävä 15 minuuttia jokaista lisävalurengasta kohti.
Valunappien ja Alox-mäntien esikuumennus
®
®
®
IPS e.max
Press / IPS e.max
ZirPress / IPS InLine
PoM
Valunappi Ei esikuumennusta
Alox-mäntä Ei esikuumennusta
®
IPS Empress
Esthetic
Valunappi Esikuumennus
Alox-mäntä Esikuumennus
IPS One-Way-Plunger -mäntä Ei esikuumennusta
®
IPS Empress
Cosmo
Valunappi Ei esikuumennusta
Alox-mäntä Esikuumennus
Tärkeää tietoa
– Älä käytä kuplanpoistajia (pinta-aktiivisia aineita). Ne saattavat reagoida valumateriaalin kanssa.
– Tasalaatuisia tuloksia saadaan vain tasalaatuisissa olosuhteissa ja seuraamalla käyttöohjeita.
– Laimenna neste vain käyttämällä tislattua tai deionisoitua vettä.
– Nestepitoisuus: Mitä enemmän tislattua tai deionisoitua vettä lisätään sekoitusnesteeseen, sitä
vähäisempää kovettumislaajeminen on. Älä käytä nestepitoisuutta, joka on alhaisempi kuin 50 %
valunesteen pitoisuudesta.
– Käytä aina puhtaita instrumentteja käsitellessäsi valumateriaalia. Älä käytä sekoituskuppeja, joita on
käytetty kipsin sekoittamiseen.
– Leikkaa jauhepussit varovasti auki ja tyhjennä pussien koko sisältö.
– Määrättyjä vähimmäiskovettumis- ja pitoaikoja on noudatettava tarkasti.
– Älä suorita valua paineenalaisesti, sillä tämä muuttaa tuoteominaisuuksia.
– Älä suorita valua viikonlopun yli (halkeamien ja prässäyspurseen vaara).
Jotta valurenkaat kuumenisivat kunnolla esikuumennusuunissa, on otettava huomioon seuraavat
ohjeet:
– Aseta valurenkaat aina viileään esikuumennusuuniin.
– Käytä enintään puolet esikuumennusuunin käytettävissä olevasta tilasta.
– Aseta valurenkaat aina esikuumennusuunin takaosaan.
36

– Aseta valurenkaat aina esikuumennusuuniin siten, että aukko on alaspäin ja 45°:n kulmassa, mikäli
mahdollista.
– Valurenkaat eivät saa koskettaa toisiaan. Varmista, että ilma pääsee kiertämään uunissa.
– Poista prässätyt valurenkaat prässäysuunista aina viipymättä ohjelman päättymisen jälkeen ja aseta ne
säleikön päälle jäähtymään.
– Poistettassa hiekkapuhalla ainoastaan (4 bar:n paineella) valumateriaalin ylimäärä, ei itse keramiikkaa.
TÄRKEÄÄ! Turvaohjeita
– Älä avaa uunia esikuumennuksen ensimmäisten 20 minuutin aikana: vahahöyryt saattavat syttyä ilmassa
ja aiheuttaa tulipalon!
– Tämä materiaali sisältää kvartsipölyä, joka voi sisäänhengitettynä aiheuttaa keuhkosairauksia (pölykeuhko
tai syöpä). Vältä pölyn sisäänhengittämistä ja käytä sopivaa pölysuojainta.
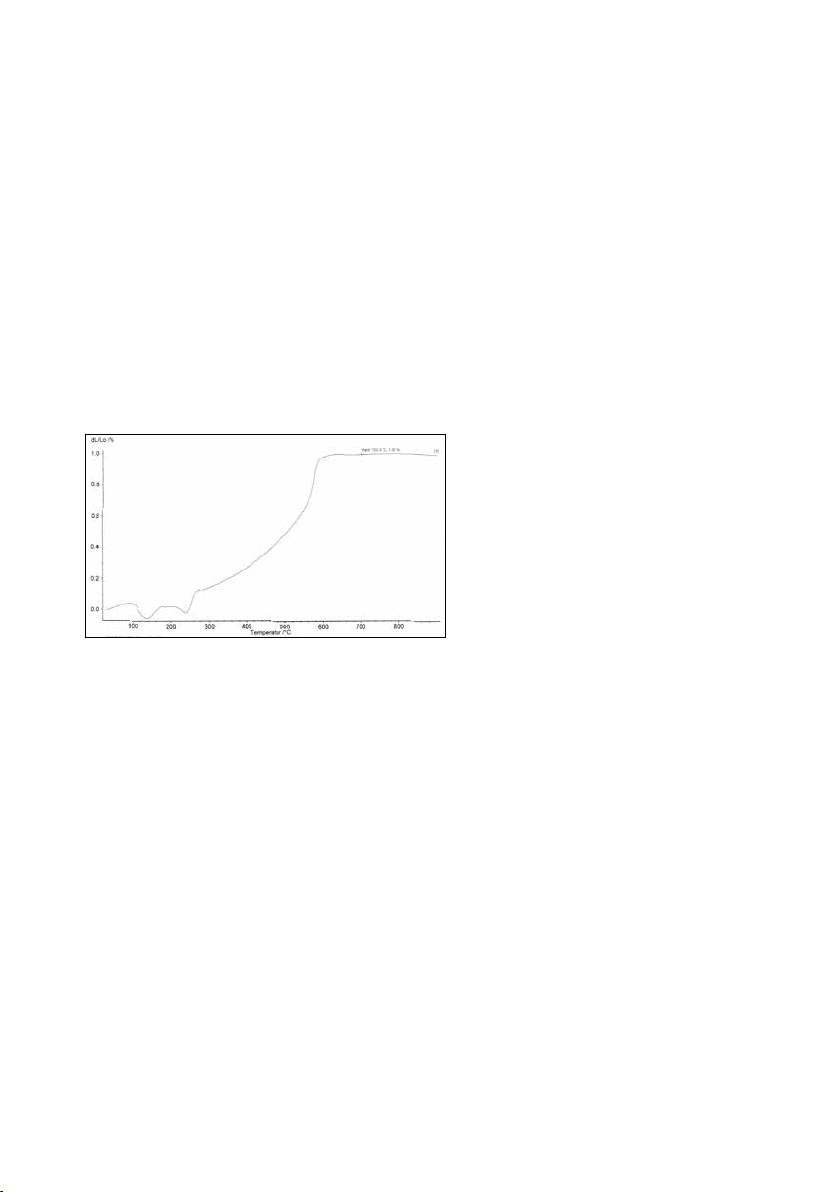
Fysikaaliset ominaisuudet
(ISO 15912:2006 mukaan)
– Virtausominaisuudet: 152 mm Nestepitoisuus 60 %
– Kovettumisaika: 8,15 minuuttia Nestepitoisuus 60 %
– Puristuslujuus: 3,4 MPa Nestepitoisuus 60 %
– Lineaarinen lämpölaajeneminen: 0,97 % Nestepitoisuus 60 %
Tämä materiaali on tarkoitettu ainoastaan hammaslääketieteelliseen käyttöön. Materiaalia tulee käsitellä tarkasti käyttöohjeita noudattaen.
Valmistaja ei vastaa vahingoista, jotka johtuvat siitä, että käyttöohjeita tai ohjeidenmukaista soveltamisalaa ei noudateta. Tuotteiden
soveltuvuuden testaaminen tai käyttäminen muuhun kuin ohjeissa mainittuun tarkoitukseen on käyttäjän vastuulla. Kuvaukset ja tiedot eivät ole
takuu ominaisuuksista eivätkä ole sitovia.
37
Table of contents
- IPS e.max Press
- IPS e.max ZirPress
- IPS e.max Press / IPS e.max ZirPress / IPS InLine PoM
- IPS e.max Press
- IPS e.max ZirPress
- IPS e.max Press / IPS e.max ZirPress / IPS InLine PoM
- IPS e.max Press
- IPS e.max ZirPress
- IPS e.max Press / IPS e.max ZirPress / IPS InLine PoM
- IPS e.max Press
- IPS e.max ZirPress
- IPS e.max Press / IPS e.max ZirPress / IPS InLine PoM
- IPS e.max Press
- IPS e.max ZirPress
- IPS e.max Press / IPS e.max ZirPress / IPS InLine PoM
- IPS e.max Press
- IPS e.max ZirPress
- IPS e.max Press / IPS e.max ZirPress / IPS InLine PoM
- IPS e.max Press
- IPS e.max ZirPress
- IPS e.max Press / IPS e.max ZirPress / IPS InLine PoM
- IPS e.max Press
- IPS e.max ZirPress
- IPS e.max Press / IPS e.max ZirPress / IPS InLine PoM
- IPS e.max Press
- IPS e.max ZirPress
- IPS e.max Press / IPS e.max ZirPress / IPS InLine PoM
- IPS e.max Press
- IPS e.max ZirPress
- IPS e.max Press / IPS e.max ZirPress / IPS InLine PoM
- IPS e.max Press
- IPS e.max ZirPress
- IPS e.max Press / IPS e.max ZirPress / IPS InLine PoM
- IPS e.max Press
- IPS e.max ZirPress
- IPS e.max Press / IPS e.max ZirPress / IPS InLine PoM
- IPS e.max Press
- IPS e.max ZirPress
- IPS e.max Press / IPS e.max ZirPress / IPS InLine PoM
- IPS e.max Press
- IPS e.max ZirPress
- IPS e.max Press / IPS e.max ZirPress / IPS InLine PoM
- IPS e.max Press
- IPS e.max ZirPress
- IPS e.max Press / IPS e.max ZirPress / IPS InLine PoM
- Ivoclar Vivadent – worldwide

