Ivoclar Vivadent IPS PressVEST: IPS e.max Press / IPS e.max ZirPress / IPS InLine PoM
IPS e.max Press / IPS e.max ZirPress / IPS InLine PoM: Ivoclar Vivadent IPS PressVEST

Messa in rivestimento
– Miscelare al massimo 400 g di rivestimento in una volta
– Rispettare il rapporto di miscelazione!
– La messa in rivestimento avviene su un vibratore, a leggera vibrazione. Lasciare che il materiale faccia
presa senza muoverlo e senza manipolare il cilindro.
Alcuni punti che influiscono sull‘espansione di presa della massa di rivestimento
– Temperatura del rivestimento e del liquido
– Acqua residua nel vasetto d‘impasto, umidità dell‘aria
Preriscaldo / tempo di tenuta
Temperatura di preriscaldo Temperatura ambiente
Salita temperatura 5°C / Min.
Tempo di tenuta 30 Min. a 250°C
Cilindro 100 g – min. 45 min
Tempo di tenuta, dopo che il forno ha raggiunto
Cilindro 200 g – min. 60 min
la temperatura finale di 850°C
Cilindro 300 g – min. 90 min
Preriscaldando più di 2 cilindri contemporaneamente, il tempo di preriscaldo deve essere
prolungato di 15 min. per ogni cilindro in più.
Preriscaldo di grezzi e del pistone in allumina
®
®
®
IPS e.max
Press / IPS e.max
ZirPress / IPS InLine
PoM
Grezzo Non preriscaldare
Pistone in allumina Non preriscaldare
®
IPS Empress
Esthetic
Grezzo Preriscaldare
Pistone in allumina Preriscaldare
IPS One-Way-Plunger Non preriscaldare
®
IPS Empress
Cosmo
Grezzo Non preriscaldare
Pistone in allumina Preriscaldare
Avvertenze importanti
– Non utilizzare riduttori di tensione per cera (tensioattivi). Sono possibili reazioni con la massa da rivesti-
mento.
– Risultati costanti si ottengono soltanto attenendosi alle istruzioni d’uso ed in condizioni sempre uguali.
– Diluire il liquido concentrato esclusivamente con acqua distillata oppure con acqua deionizzata.
– Concentrazione del liquido: tanto maggiore è la quantità di acqua aggiunta al liquido, tanto minore sarà
l’espansione di presa. Inoltre in tal modo il rivestimento viene indebolito nella sua resistenza. Non diluire
il liquido concentrato oltre il 50%.
– Lavorare la massa da rivestimento soltanto con strumenti puliti e non utilizzare contenitori per la miscela-
zione del gesso.
– Tagliare cautamente il sacchetto e prelevare l’intero contenuto della busta.
– Rispettare assolutamente i tempi minimi indicati (tempo di presa / tempi di tenuta).
– Non effettuare la messa in rivestimento sotto pressione, altrimenti si modificano le proprietà fisiche del
prodotto.
– Non effettuare messe in rivestimento durante il fine settimana (pericolo di incrinature o difetti di
pressatura).
16

Per garantire un sufficiente riscaldamento dei cilindri nel forno di preriscaldo, rispettare quanto
segue:
– Posizionare i cilindri con il rivestimento sempre nel forno di preriscaldo freddo.
– Il forno di preriscaldo deve essere riempito al massimo fino a metà della sua superficie di preriscaldo.
– Posizionare i cilindri sempre nella zona più posteriore del forno di preriscaldo.
– Posizionare il cilindro nel forno di preriscaldo sempre con l’apertura verso il basso in angolazione di 45°
– Posizionare i cilindro in modo che non siano a contatto fra di loro. Permettere la circolazione dell’aria.
– Al termine del programma, prelevare immediatamente i cilindri pressati dal forno di pressatura e posizio-
narli su una griglia a raffreddare.
– Nella smuffolatura grossolana (4 bar di pressione) prestare attenzione ad eliminare soltanto il rivestimento
in eccesso ed a non sabbiare il restauro ceramico.
ATTENZIONE! Avvertenze di sicurezza
– Durante il preriscaldo, non aprire il forno di preriscaldo per i primi 20 minuti: pericolo di scottature a causa
dei vapori della cera, che si possono infiammare all’aria!
– Questo materiale contiene polvere di quarzo che, se inalata, può determinare malattie polmonari (silicosi
o tumori). Evitare l‘inalazione di polvere ed indossare idonea mascherina di protezione.
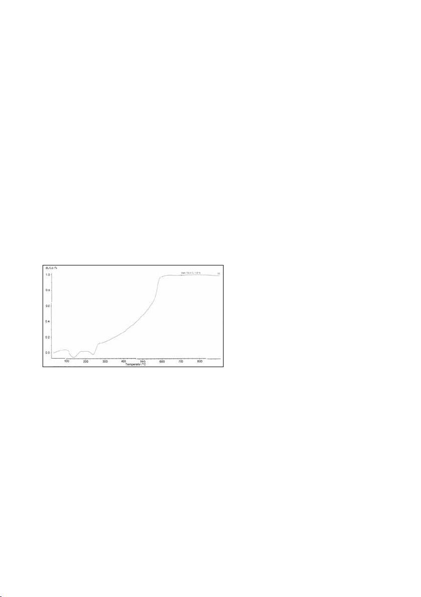
Dati fisici
(secondo EN ISO 15912:2006)
– Fluidità: 152 mm concentrazione di liquido 60%
– Inizio della solidificazione: 8,15 minuti concentrazione di liquido 60%
– Resistenza alla pressione: 3,4 MPa concentrazione di liquido 60%
– Espansione termica lineare: 0,97 % concentrazione di liquido 60%
Il prodotto è stato realizzato per l’impiego nel campo dentale e deve essere utilizzato secondo le istruzioni d’uso. Il produttore non si assume
alcuna responsabilità per danni derivanti da diverso o inadeguato utilizzo. L’utente è tenuto a controllare personalmente l’idoneità del prodotto
per gli impieghi da lui previsti soprattutto, se questi impieghi non sono riportati nelle istruzioni d’uso.
17
Table of contents
- IPS e.max Press
- IPS e.max ZirPress
- IPS e.max Press / IPS e.max ZirPress / IPS InLine PoM
- IPS e.max Press
- IPS e.max ZirPress
- IPS e.max Press / IPS e.max ZirPress / IPS InLine PoM
- IPS e.max Press
- IPS e.max ZirPress
- IPS e.max Press / IPS e.max ZirPress / IPS InLine PoM
- IPS e.max Press
- IPS e.max ZirPress
- IPS e.max Press / IPS e.max ZirPress / IPS InLine PoM
- IPS e.max Press
- IPS e.max ZirPress
- IPS e.max Press / IPS e.max ZirPress / IPS InLine PoM
- IPS e.max Press
- IPS e.max ZirPress
- IPS e.max Press / IPS e.max ZirPress / IPS InLine PoM
- IPS e.max Press
- IPS e.max ZirPress
- IPS e.max Press / IPS e.max ZirPress / IPS InLine PoM
- IPS e.max Press
- IPS e.max ZirPress
- IPS e.max Press / IPS e.max ZirPress / IPS InLine PoM
- IPS e.max Press
- IPS e.max ZirPress
- IPS e.max Press / IPS e.max ZirPress / IPS InLine PoM
- IPS e.max Press
- IPS e.max ZirPress
- IPS e.max Press / IPS e.max ZirPress / IPS InLine PoM
- IPS e.max Press
- IPS e.max ZirPress
- IPS e.max Press / IPS e.max ZirPress / IPS InLine PoM
- IPS e.max Press
- IPS e.max ZirPress
- IPS e.max Press / IPS e.max ZirPress / IPS InLine PoM
- IPS e.max Press
- IPS e.max ZirPress
- IPS e.max Press / IPS e.max ZirPress / IPS InLine PoM
- IPS e.max Press
- IPS e.max ZirPress
- IPS e.max Press / IPS e.max ZirPress / IPS InLine PoM
- IPS e.max Press
- IPS e.max ZirPress
- IPS e.max Press / IPS e.max ZirPress / IPS InLine PoM
- Ivoclar Vivadent – worldwide

