Ivoclar Vivadent IPS PressVEST: IPS e.max Press / IPS e.max ZirPress / IPS InLine PoM
IPS e.max Press / IPS e.max ZirPress / IPS InLine PoM: Ivoclar Vivadent IPS PressVEST

Revetmana alma
– Br seferde maks. 400 g revetman materyal karıştırın
– Karıştırma oranına sıkı br şeklde uyun!
– Revetmana alma şlem haff vbrasyonla çalışan br çalkalayıcıda gerçekleştrlr. Revetman manşetne el
sürmeden sertleşmesn bekleyn.
Revetman materyalnn sertleşme genleşmesn etkleyen bazı faktörler
– Revetman materyalnn ve sıvının sıcaklığı
– Karıştırma kabındak rezdüel su mktarı, atmosferdek nem oranı
Ön ısıtma / tutma süreler
Başlangıç sıcaklığı Oda sıcaklığı
Sıcaklık yükselişi Dakikada 5°C
Tutma süresi 250°C sıcaklıkta 30 dk
100 g‘lık revetman manşeti – en az 45 dk
En üst ısı derecesi olan 850°C‘ye ulaşıldıktan
200 g‘lık revetman manşeti – en az 60 dk
sonraki tutma süresi
300 g‘lık revetman manşeti – en az 90 dk
2 adetten fazla revetman manşetnn aynı zamanda ön ısıtma şlemne tab tutulması durumunda, son ısı dere
-
cesndek tutma süres ek olarak ısıtılan her br manşet çn 15 dakka uzatılır.
İngotları ve Alox pstonları ön ısıtma
®
®
®
IPS e.max
Press / IPS e.max
ZirPress / IPS InLine
PoM
Ingot Ön ısıtmasız
Alox piston Ön ısıtmasız
®
IPS Empress
Esthetic
Ingot Ön ısıtmalı
Alox piston Ön ısıtmalı
IPS One-Way-Plunger Ön ısıtmasız
®
IPS Empress
Cosmo
Ingot Ön ısıtmasız
Alox piston Ön ısıtmalı
Öneml blgler
– Yüzey gerlmn azaltıcı surfaktan madde (tensd) kullanmayın. Revetman materyalyle tepkmeler gerçekle-
şeblr.
– Tutarlı sonuçlar elde etmek, ancak tutarlı şartlar altında çalışmak ve Kullanma Talmatlarına uymakla müm
-
kündür.
– Sıvıyı yalnızca dstle veya deyonze suyla seyreltn.
– Sıvı konsantrasyonu: Karıştırma sıvısına ne kadar çok dstle veya deyonze su katılırsa, sertleşme genleşmes
düzey o ölçüde düşük olur. Sıvıyı %50 oranının altına seyreltmeyn.
– Revetman materyaln şlemek çn yalnızca kuru, temz aletler kullanın. Alçı karıştırma kapları kullanmayın.
- Toz poşetlern dkkatlce keserek açın ve poşetn bütün çerğn boşaltın.
– Öngörülen mnmum sertleşme ve tutma sürelerne sıkı br şeklde uyulması gerekmektedr.
– Basınç altında revetman oluşturmayın, çünkü bu, ürünün özellklern değştrr.
– Hafta sonu süresnce revetman oluşturmayın (çatlak ve pres çapağı rsk).
Revetman manşetlernn ön ısıtma fırınında dernlemesne ısınmasını sağlamak çn şu
hususlara dkkat edlmeldr:
– Revetman manşetlern ön ısıtma fırınına dama fırın soğukken yerleştrn.
– Ön ısıtma fırınını kullanılablr alanın en fazla yarısına kadar doldurun.
– Revetman manşetlern dama ön ısıtma fırınının arka bölümüne yerleştrn.
52

– Revetman manşetlern ön ısıtma fırınına dama ağızları aşağıya bakacak şeklde ve mümkünse 45°’lk br
açıyla yerleştrn.
– Revetman manşetlern hçbr zaman brbrleryle doğrudan temas edecek şeklde yerleştrmeyn. Hava srkü
-
lasyonuna olanak tanıyın.
– Preslenmş revetman manşetlern dama program sona erdkten sonra hemen pres fırınından çıkararak
soğumaları çn br ızgaranın üzerne koyun.
– Revetmandan çıkarırken seramk objey değl, yalnızca revetman materyalnn fazlalıklarını kumladığınızdan
(4 bar basınç) emn olun.
ÖNEMLİ! Güvenlk blgler
– Fırını ön ısıtma şlemnn lk 20 dakkası çersnde açmayın: Mum buharı havayla temas ettğnde tutuşarak,
yanma tehlkes oluşturablr!
– Bu materyal kuvars çermektedr. Kuvars, solunması durumunda akcğer hastalıklarına (slkozs veya kanser)
neden olablr. Tozu solumaktan kaçının ve uygun br toz maskes takın.
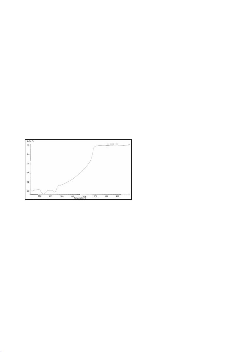
Fzksel verler
(ISO 15912:2006’ya göre).
– Akış özellkler: 152 mm Sıvı konsantrasyonu %60
– İlk sertleşme: 8,15 dakka Sıvı konsantrasyonu %60
– Basınç dayanımı: 3,4 MPa Sıvı konsantrasyonu %60
– Doğrusal ısıl genleşme: %0,97 Sıvı konsantrasyonu %60
Bu malzeme sadece dş hekmlğnde kullanılmak üzere hazırlanmıştır. İşleme koyma sırasında Kullanma Talmatına katı olarak rayet edlmeldr.
Belrlenen kullanım alanı ve Kullanım Talmatının zlenmedğ durumlarda oluşacak hasarlardan sorumluluk kabul edlmeyecektr. Ürünler Talmatta
açıkça belrtlmemş herhang br amaç çn kullanım ve uygunluk açısından test etmekten kullanıcı sorumludur. Tanımlama ve blgler özellkler çn
garant oluşturmayacağı gb br bağlayıcılığı da yoktur.
53
Table of contents
- IPS e.max Press
- IPS e.max ZirPress
- IPS e.max Press / IPS e.max ZirPress / IPS InLine PoM
- IPS e.max Press
- IPS e.max ZirPress
- IPS e.max Press / IPS e.max ZirPress / IPS InLine PoM
- IPS e.max Press
- IPS e.max ZirPress
- IPS e.max Press / IPS e.max ZirPress / IPS InLine PoM
- IPS e.max Press
- IPS e.max ZirPress
- IPS e.max Press / IPS e.max ZirPress / IPS InLine PoM
- IPS e.max Press
- IPS e.max ZirPress
- IPS e.max Press / IPS e.max ZirPress / IPS InLine PoM
- IPS e.max Press
- IPS e.max ZirPress
- IPS e.max Press / IPS e.max ZirPress / IPS InLine PoM
- IPS e.max Press
- IPS e.max ZirPress
- IPS e.max Press / IPS e.max ZirPress / IPS InLine PoM
- IPS e.max Press
- IPS e.max ZirPress
- IPS e.max Press / IPS e.max ZirPress / IPS InLine PoM
- IPS e.max Press
- IPS e.max ZirPress
- IPS e.max Press / IPS e.max ZirPress / IPS InLine PoM
- IPS e.max Press
- IPS e.max ZirPress
- IPS e.max Press / IPS e.max ZirPress / IPS InLine PoM
- IPS e.max Press
- IPS e.max ZirPress
- IPS e.max Press / IPS e.max ZirPress / IPS InLine PoM
- IPS e.max Press
- IPS e.max ZirPress
- IPS e.max Press / IPS e.max ZirPress / IPS InLine PoM
- IPS e.max Press
- IPS e.max ZirPress
- IPS e.max Press / IPS e.max ZirPress / IPS InLine PoM
- IPS e.max Press
- IPS e.max ZirPress
- IPS e.max Press / IPS e.max ZirPress / IPS InLine PoM
- IPS e.max Press
- IPS e.max ZirPress
- IPS e.max Press / IPS e.max ZirPress / IPS InLine PoM
- Ivoclar Vivadent – worldwide

