Ivoclar Vivadent IPS PressVEST: IPS e.max Press / IPS e.max ZirPress / IPS InLine PoM
IPS e.max Press / IPS e.max ZirPress / IPS InLine PoM: Ivoclar Vivadent IPS PressVEST

Inbedden
– Meng max. 400 g inbedmateriaal per keer
– Hou de mengverhouding goed in te gaten!
– Bed de restauratie in op een licht vibrerende triller. Gedurende het uitharden mag de moffel niet worden
bewogen.
Enkele omstandigheden die de uithardingsexpansie van het inbedmateriaal beïnvloe-
den
– Temperatuur van de inbedmassa en vloeistof
– Restjes water in de mengbeker, luchtvochtigheid
Voorverwarmen/houdtijd
Begintemperatuur Kamertemperatuur
Temperatuurstijging 5°C per min.
Houdtijd 30 min. op 250°C
100 g moffel – min. 45 min.
Houdtijd na het bereiken van de
200 g moffel – min. 60 min.
eindtemperatuur van 850°C
300 g moffel – min. 90 min.
Als er tegelijkertijd meer dan 2 moffels moeten worden voorverwarmd, moet de houdtijd op de eindtempera-
tuur met 15 minuten per extra moffel worden verlengd.
Voorverwarmen van porseleinblokjes en Alox-pistons
®
®
®
IPS e.max
Press / IPS e.max
ZirPress / IPS InLine
PoM
Porseleinblokje Niet voorverwarmen
Alox-piston Niet voorverwarmen
®
IPS Empress
Esthetic
Porseleinblokje Voorverwarmen
Alox-piston Voorverwarmen
IPS One-Way-Plunger Niet voorverwarmen
®
IPS Empress
Cosmo
Porseleinblokje Niet voorverwarmen
Alox-piston Voorverwarmen
Belangrijke informatie
– Gebruik geen middel om luchtbellen tegen te gaan (tenside). Dit kan reageren met het inbedmateriaal.
– Consistente resultaten kunnen slechts worden bereikt indien de gebruiksaanwijzing in acht wordt geno-
men en de omstandigheden gelijk worden gehouden.
– Verdun de vloeistof uitsluitend met gedestilleerd of gedeïoniseerd water.
– Vloeistofconcentratie: hoe meer gedestilleerd of gedeïoniseerd water aan de mengvloeistof wordt toege-
voegd, des te lager de uithardingsexpansie. Verdun de vloeistof niet tot minder dan 50%.
– Verwerk de inbedmassa alleen met schone en droge instrumenten. Gebruik geen gipsmengbekers.
– Open de zakjes met poeder zorgvuldig en haal de hele inhoud uit het zakje.
– De opgegeven minimale uithardings- en houdtijden moeten zorgvuldig worden aangehouden.
– Pas geen drukinbedding toe; daardoor kunnen de producteigenschappen veranderen.
– Doe geen inbeddingen gedurende het weekeind (risico van scheuren en baarden).
44

Om te garanderen dat de moffels in de voorverwarmoven voldoende worden verwarmd, moeten
de volgende punten in acht worden genomen:
– Plaats de moffels altijd in een koele voorverwarmoven.
– Vul de voorverwarmoven niet tot meer dan de helft van de beschikbare ruimte.
– Plaats de moffels daarbij altijd achterin de voorverwarmoven.
– Plaats de moffels altijd met de opening naar beneden in de voorverwarmoven en indien mogelijk in een
hoek van 45°.
– Zorg dat de moffels niet direct met elkaar in aanraking komen. Zorg dat luchtcirculatie mogelijk is.
– Verwijder geperste moffels altijd direct na afloop van het persprogramma uit de persoven en zet ze op een
rooster om af te koelen.
– Zorg dat bij het uitbedden alleen het overtollige inbedmateriaal wordt afgestraald (druk 4 bar) en niet het
keramische object.
BELANGRIJK! Veiligheidsinstructies
– Open de oven niet tijdens de eerste 20 minuten i.v.m. verbrandingsgevaar door wasdampen, die bij
contact met de lucht kunnen ontbranden!
– De inbedmassa bevat kwartsmeel, waardoor bij inademing longaandoeningen kunnen ontstaan (silicose of
kanker). Voorkom inademing van stof door een goed stofmasker te dragen.
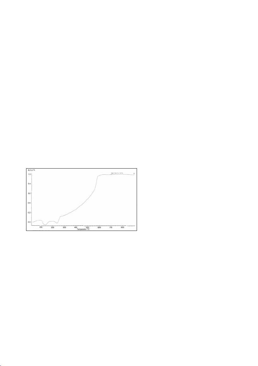
Fysische gegevens
(conform ISO 15912:2006)
– Vloeikenmerken: 152 mm vloeistofconcentratie 60%
– Initiële uitharding: 8,15 min. vloeistofconcentratie 60%
– Compressiesterkte: 3,4 MPa vloeistofconcentratie 60%
– Lineaire thermische expansie: 0,97% vloeistofconcentratie 60%
Dit materiaal is uitsluitend ontwikkeld voor tandheelkundig gebruik. Het moet precies volgens de productinformatie worden verwerkt. Indien
er schade optreedt door toepassing voor andere doeleinden of door verkeerd gebruik, kan de fabrikant daarvoor niet aansprakelijk worden
gesteld. De gebruiker is bovendien verplicht om vóór gebruik na te gaan of de producten voor de beoogde toepassing geschikt zijn, vooral als
deze toepassing niet expliciet in de productinformatie staat vermeld. De beschrijvingen en gegevens houden geen garantie in ten aanzien van de
eigenschappen en zijn niet bindend.
45
Table of contents
- IPS e.max Press
- IPS e.max ZirPress
- IPS e.max Press / IPS e.max ZirPress / IPS InLine PoM
- IPS e.max Press
- IPS e.max ZirPress
- IPS e.max Press / IPS e.max ZirPress / IPS InLine PoM
- IPS e.max Press
- IPS e.max ZirPress
- IPS e.max Press / IPS e.max ZirPress / IPS InLine PoM
- IPS e.max Press
- IPS e.max ZirPress
- IPS e.max Press / IPS e.max ZirPress / IPS InLine PoM
- IPS e.max Press
- IPS e.max ZirPress
- IPS e.max Press / IPS e.max ZirPress / IPS InLine PoM
- IPS e.max Press
- IPS e.max ZirPress
- IPS e.max Press / IPS e.max ZirPress / IPS InLine PoM
- IPS e.max Press
- IPS e.max ZirPress
- IPS e.max Press / IPS e.max ZirPress / IPS InLine PoM
- IPS e.max Press
- IPS e.max ZirPress
- IPS e.max Press / IPS e.max ZirPress / IPS InLine PoM
- IPS e.max Press
- IPS e.max ZirPress
- IPS e.max Press / IPS e.max ZirPress / IPS InLine PoM
- IPS e.max Press
- IPS e.max ZirPress
- IPS e.max Press / IPS e.max ZirPress / IPS InLine PoM
- IPS e.max Press
- IPS e.max ZirPress
- IPS e.max Press / IPS e.max ZirPress / IPS InLine PoM
- IPS e.max Press
- IPS e.max ZirPress
- IPS e.max Press / IPS e.max ZirPress / IPS InLine PoM
- IPS e.max Press
- IPS e.max ZirPress
- IPS e.max Press / IPS e.max ZirPress / IPS InLine PoM
- IPS e.max Press
- IPS e.max ZirPress
- IPS e.max Press / IPS e.max ZirPress / IPS InLine PoM
- IPS e.max Press
- IPS e.max ZirPress
- IPS e.max Press / IPS e.max ZirPress / IPS InLine PoM
- Ivoclar Vivadent – worldwide

