Ivoclar Vivadent IPS PressVEST: IPS e.max Press / IPS e.max ZirPress / IPS InLine PoM
IPS e.max Press / IPS e.max ZirPress / IPS InLine PoM: Ivoclar Vivadent IPS PressVEST

Viktiga råd som kan fösämra inbäddningen
– Temperatur på inbäddningsmaterial och vätska
– Kvarstående vatten i blandningskoppen
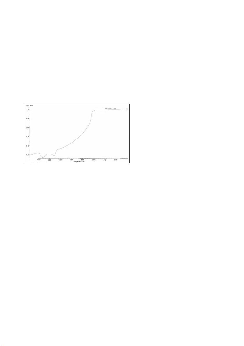
Förvärmning / hålltider
Start temperatur Rum temperatur
Temperatur stegring 5 °C per min
Håll temperatur 30 min at vid 250 °C
100 g kyvett – min. 45 min
Hålltider efter uppnådd slut temperature
200 g kyvett – min. 60 min
850°C
300 g kyvett – min. 90 min
Om flera kyvetter (fler än två) ska brännas ur samtidigt ska föruppvärmningstiden ökas med 15 min/kyvett.
Förvärmning av pucker och Alox-kolv
®
®
®
IPS e.max
Press / IPS e.max
ZirPress / IPS InLine
PoM
Puck Ingen förvärmning
Alox-kolv Ingen förvärmning
®
IPS Empress
Esthetic
Puck Förvärmning
Alox-kolv Förvärmning
IPS One-Way-Plunger Ingen förvärmning
®
IPS Empress
Cosmo
Puck Ingen förvärmning
Alox-kolv Förvärmning
Viktig information
– Använd inte vätmedel eftersom dessa kan reagera med inbäddningsmaterialet.
– Överensstämmande resultat kan endast uppnås genom att följa bruksanvisningen noggrant
– Späd blandningsvätskan till inbäddningsmaterialet endast med destillerat- eller avjoniserat vatten
– Vätskekoncentration: Högre procentandel destillerat vatten i inbäddningsmaterialets blandningsvätska
sänker stelningsexpansionen och äventyrar stabiliteten på inbäddningsmaterialet. Använd inte en vätske-
koncentration som innehåller mindre än 50 % blandningsvätska för inbäddningsmaterial
– Använd alltid rena och torra instrument tillsammans med inbäddningsmaterialet. Använd inte blandnings-
bägare som har använts till gips
– Öppna försiktigt påsarna och se till att allt pulver tömms ur.
– Rekomenderade min och hålltider måste hållas.
– Bädda inte in undertryck,då detta förändrar egenskaperna hos produkten.
– Låt inte inbäddningen stå över helgen (risk för sprickor och misspressningar).
För att uppnå tillräcklig upphättning av kyvetterna i urbränningsugnen, ska följande instruktioner
följas:
– Placera alltid kyvetterna I kall urbränningsugn
– Placera alltid kyvetten i den bakre delen av brännkammaren
– Placera kyvetten snabbt i urbränningsugnen. Se till att temperaturen inte sjunker för mycket
– Tag alltid ut den pressade kyvetten från pressugnen omedelbart efter programmet är klart. Placera
kyvetten på ett galler och låt den svalna
– Placera alltid kyvetterna i urbränningsugnen med öppningen nedåt
– Avlägsna alltid kyvetterna direct från pressmaskinen efter press programet avslutats och ställ dem på ett
avkylningsbord
28

– Vid urbäddningen av kyvetten använd max 4 bar tryck och blästra bara på inbäddningsmassan och inte
på de keramiska objekten.
Säkerhetsföreskrifter
– Öppna inte urbränningsugnen under de första 20 minuterna av förvärmningscykeln eftersom vaxånga kan
självantända vid kontakt med luft och orsaka brännskador!
– Varning: Inbäddningsmassan innehåller kvartspulver. Inandning av damm ska undvikas.
(Förlängd exponering av damm kan orsaka lungskada och silikos).
Fysikaliska egenskaper
(Enligt ISO 15912:2006)
– Flytbarhet: 152 mm Vätskekoncentration 60%
– Stelningstid: 8,15 min Vätskekoncentration 60%
– Tryckhållfasthet: 3,4 MPa Vätskekoncentration 60%
– Lineär termisk expansion: 0.97 % Vätskekoncentration 60%
Materialet är framtaget för användning dentalt. Arbetsgången ska följas strikt efter bruksanvisningen. Tillverkaren påtager sig inget ansvar
för skador som uppkommit genom att oaktsamhet i materialbehandling eller underlåtenhet att följa givna instruktioner. Användaren är ensam
ansvarig för kontroll av materialets lämplighet för annat ändamål än vad som finns direkt uttryckt i instruktionerna. Beskrivningarna och data
innebär ingen garanti för egenskaper och är inte bindande.
29
Table of contents
- IPS e.max Press
- IPS e.max ZirPress
- IPS e.max Press / IPS e.max ZirPress / IPS InLine PoM
- IPS e.max Press
- IPS e.max ZirPress
- IPS e.max Press / IPS e.max ZirPress / IPS InLine PoM
- IPS e.max Press
- IPS e.max ZirPress
- IPS e.max Press / IPS e.max ZirPress / IPS InLine PoM
- IPS e.max Press
- IPS e.max ZirPress
- IPS e.max Press / IPS e.max ZirPress / IPS InLine PoM
- IPS e.max Press
- IPS e.max ZirPress
- IPS e.max Press / IPS e.max ZirPress / IPS InLine PoM
- IPS e.max Press
- IPS e.max ZirPress
- IPS e.max Press / IPS e.max ZirPress / IPS InLine PoM
- IPS e.max Press
- IPS e.max ZirPress
- IPS e.max Press / IPS e.max ZirPress / IPS InLine PoM
- IPS e.max Press
- IPS e.max ZirPress
- IPS e.max Press / IPS e.max ZirPress / IPS InLine PoM
- IPS e.max Press
- IPS e.max ZirPress
- IPS e.max Press / IPS e.max ZirPress / IPS InLine PoM
- IPS e.max Press
- IPS e.max ZirPress
- IPS e.max Press / IPS e.max ZirPress / IPS InLine PoM
- IPS e.max Press
- IPS e.max ZirPress
- IPS e.max Press / IPS e.max ZirPress / IPS InLine PoM
- IPS e.max Press
- IPS e.max ZirPress
- IPS e.max Press / IPS e.max ZirPress / IPS InLine PoM
- IPS e.max Press
- IPS e.max ZirPress
- IPS e.max Press / IPS e.max ZirPress / IPS InLine PoM
- IPS e.max Press
- IPS e.max ZirPress
- IPS e.max Press / IPS e.max ZirPress / IPS InLine PoM
- IPS e.max Press
- IPS e.max ZirPress
- IPS e.max Press / IPS e.max ZirPress / IPS InLine PoM
- Ivoclar Vivadent – worldwide

