Ivoclar Vivadent IPS PressVEST: IPS e.max Press / IPS e.max ZirPress / IPS InLine PoM
IPS e.max Press / IPS e.max ZirPress / IPS InLine PoM: Ivoclar Vivadent IPS PressVEST

Noen punkter som kan påvirke investmentets herdeekspansjon
– Temperaturen til investmentet og væsken
– Vannrester i blandebegeret, luftfuktighet
Forvarming/holdetider
Starttemperatur Romtemperatur
Temperaturøkning 5 °C per min
Holdetid 30 min ved 250 °C F
100 g muffel – min. 45 min
Holdetid etter å ha nådd den endelige
200 g muffel – min. 60 min
temperaturen på 850 °C
300 g muffel – min. 90 min
Hvis flere enn to mufler forvarmes samtidig, må holdetiden ved den endelige temperaturen forlenges med 15
minutter per ekstra muffel.
Forvarming av rohlinger og Alox-stempler
®
®
®
IPS e.max
Press / IPS e.max
ZirPress / IPS InLine
PoM
Rohling Ingen forvarming
Alox-stempel Ingen forvarming
®
IPS Empress
Esthetic
Rohling Forvarming
Alox-stempel Forvarming
IPS One-Way-Plunger Ingen forvarming
®
IPS Empress
Cosmo
Rohling Ingen forvarming
Alox-stempel Forhåndsoppvarming
Viktige opplysninger
– Ikke bruk skumdempende midler (tensid). Det kan forårsake reaksjoner med investmentmaterialet.
– Like resultater kan bare oppnås når bearbeidingsinstruksen følges og betingelsene er like.
– Væsken fortynnes kun med destillert eller avionisert vann.
– Væskekonsentrasjon: Jo mer destillert eller avionisert vann som tilføres blandevæsken, desto lavere er
herdeekspansjonen. Ikke fortynn væsken til under 50 %.
– Investmentmaterialet må bare bearbeides med rene, tørre instrumenter. Ikke bruk gipsblandebegre.
– Klipp opp posene med pulver forsiktig, og tøm ut alt innholdet i posene.
– Stipulert minimumsinnstilling og holdetider må overholdes nøye.
– Ikke foreta trykkinvestering. Det forandrer produktets egenskaper.
– Ikke invester over helgen (risiko for sprekker og trykkskader).
For å sikre tilstrekkelig gjennomvarming av muflene i forvarmingsovnen må du ta hensyn til
følgende punkter:
– Muflene skal alltid plasseres i en kjølig forvarmingsovn.
– Forvarmingsovnen skal maksimalt fylles opp til halvparten av flaten.
– Muflene skal alltid plasseres i den bakre delen av forvarmingsovnen.
– Muflene skal alltid settes inn i forvarmingsovnen med åpningen ned og om mulig i en vinkel på 45°.
– Muflene må ikke plasseres i direkte berøring med hverandre. Luften må kunne sirkulere.
– Ta alltid ut pressede mufler fra pressovnen umiddelbart etter at programmet er ferdig, og plasser dem på
en rist for avkjøling.
– Når investeringen fjernes, må du sørge for å sandblåse (4 bar trykk) det overflødige investmentmaterialet
og ikke keramikkgjenstanden.
40

VIKTIG! Sikkerhetsmerknader
– Ikke åpne ovnen de første 20 minuttene med forvarming: Fare for forbrenning fra voksdamper som kan
antennes i luften!
– Dette materialet inneholder kvarts som kan forårsake lungesykdommer (silikose eller kreft) dersom det
innåndes. Unngå innånding av støv, og bruk egnet støvmaske.
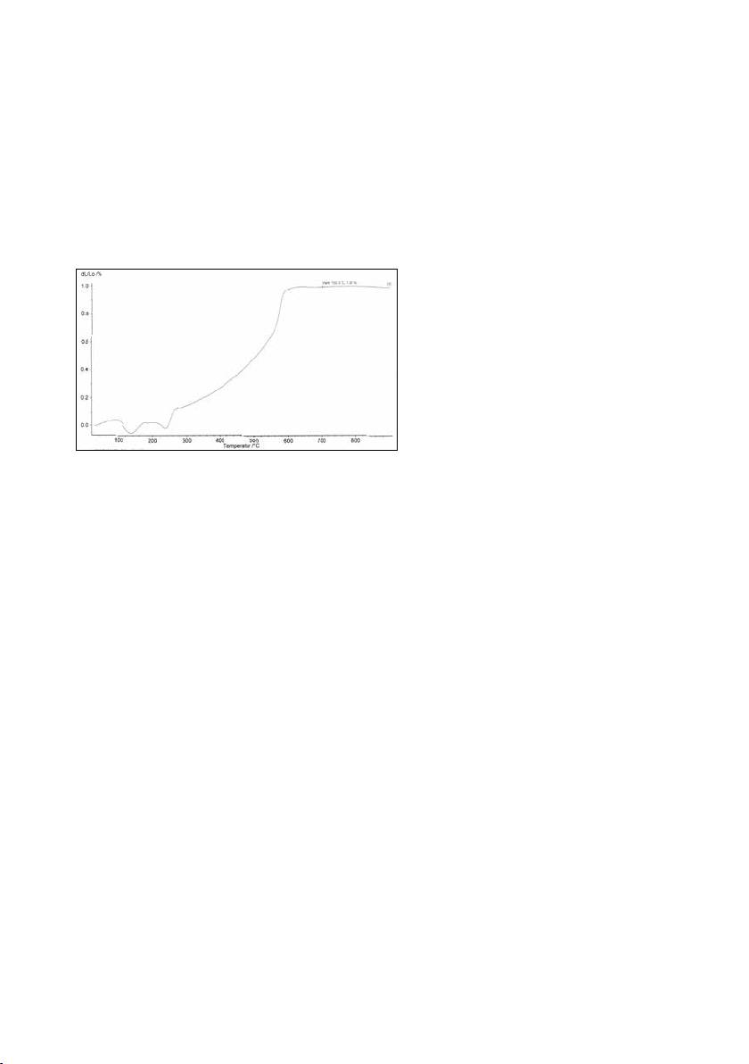
Fysiske data
(i henhold til ISO 15912:2006)
– Strømningsegenskaper: 152 mm Væskekonsentrasjon 60 %
– Første herding: 8,15 minutter Væskekonsentrasjon 60 %
– Trykkfasthet: 3,4 MPa Væskekonsentrasjon 60 %
– Lineær termisk ekspansjon: 0,97 % Væskekonsentrasjon 60 %
Materialet er utviklet til bruk kun på det odontologiske området. Arbeid med produktet skal utføres strengt i samsvar med bruksanvisningen.
Produsenten påtar seg intet ansvar for skader som oppstår på grunn av annen bruk eller ufagmessig bearbeiding. I tillegg er brukeren forpliktet
til på forhånd og på eget ansvar å undersøke om produktene egner seg og kan brukes til de tiltenkte formål, særlig dersom disse formålene ikke
er oppført i bruksanvisningen. Beskrivelser og data utgjør ingen garanti for egenskaper og er ikke bindende.
41
Table of contents
- IPS e.max Press
- IPS e.max ZirPress
- IPS e.max Press / IPS e.max ZirPress / IPS InLine PoM
- IPS e.max Press
- IPS e.max ZirPress
- IPS e.max Press / IPS e.max ZirPress / IPS InLine PoM
- IPS e.max Press
- IPS e.max ZirPress
- IPS e.max Press / IPS e.max ZirPress / IPS InLine PoM
- IPS e.max Press
- IPS e.max ZirPress
- IPS e.max Press / IPS e.max ZirPress / IPS InLine PoM
- IPS e.max Press
- IPS e.max ZirPress
- IPS e.max Press / IPS e.max ZirPress / IPS InLine PoM
- IPS e.max Press
- IPS e.max ZirPress
- IPS e.max Press / IPS e.max ZirPress / IPS InLine PoM
- IPS e.max Press
- IPS e.max ZirPress
- IPS e.max Press / IPS e.max ZirPress / IPS InLine PoM
- IPS e.max Press
- IPS e.max ZirPress
- IPS e.max Press / IPS e.max ZirPress / IPS InLine PoM
- IPS e.max Press
- IPS e.max ZirPress
- IPS e.max Press / IPS e.max ZirPress / IPS InLine PoM
- IPS e.max Press
- IPS e.max ZirPress
- IPS e.max Press / IPS e.max ZirPress / IPS InLine PoM
- IPS e.max Press
- IPS e.max ZirPress
- IPS e.max Press / IPS e.max ZirPress / IPS InLine PoM
- IPS e.max Press
- IPS e.max ZirPress
- IPS e.max Press / IPS e.max ZirPress / IPS InLine PoM
- IPS e.max Press
- IPS e.max ZirPress
- IPS e.max Press / IPS e.max ZirPress / IPS InLine PoM
- IPS e.max Press
- IPS e.max ZirPress
- IPS e.max Press / IPS e.max ZirPress / IPS InLine PoM
- IPS e.max Press
- IPS e.max ZirPress
- IPS e.max Press / IPS e.max ZirPress / IPS InLine PoM
- Ivoclar Vivadent – worldwide

