Ivoclar Vivadent IPS PressVEST: IPS e.max Press / IPS e.max ZirPress / IPS InLine PoM
IPS e.max Press / IPS e.max ZirPress / IPS InLine PoM: Ivoclar Vivadent IPS PressVEST

Zatapianie
– Mieszaç jednorazowo maks. 400 g masy.
– Przestrzegaç proporcji mieszania.
– Zatapianie nale˝y przeprowadzaç na wstrzàsarce z lekkà wibracjà. Nie poruszaç pierÊcienia do momentu
zwiàzania masy.
Niektóre czynniki majàce wp∏yw na ekspansj´ wiàzania masy os∏aniajàcej
– Temperatura masy os∏aniajàcej oraz p∏ynu.
– Resztki wody w naczyniu do mieszania, wilgotnoÊç powietrza.
Wygrzewanie/ czas przetrzymania
Temperatura startowa
Temperatura pokojowa
Przyrost temperatury
5° C na min
Czas przetrzymania
30 min w 250°C
PierÊcieƒ 100 g – co najmniej 45 min
Czas przetrzymania po osiàgni´ciu temperatury
PierÊcieƒ 200 g – co najmniej 60 min
(850 °C)
PierÊcieƒ 300 g – co najmniej 90 min
JeÊli wygrzewanych jest jednoczeÊnie wi´cej pierÊcieni ni˝ dwa, to czas przetrzymania w temperaturze
koƒcowej powinien byç przed∏u˝any po 15 minut na ka˝dy pierÊcieƒ.
Wygrzewanie pastylek (ingots) i t∏oków do t∏oczenia (Alox Plungers)
®
®
®
IPS e.max
Press / IPS e.max
ZirPress / IPS InLine
PoM
Pastylka (Ingot) Nie wygrzewaç
T∏ok (Alox plunger) Nie wygrzewaç
®
IPS Empress
Esthetic
Pastylka (Ingot) Wygrzewaç
T∏ok (Alox plunger) Wygrzewaç
IPS One-Way-Plunger Nie wygrzewaç
®
IPS Empress
Cosmo
Pastylka (Ingot) Nie wygrzewaç
T∏ok (Alox plunger) Wygrzewanie
Wa˝ne informacje
– Nie stosowaç Êrodków zmniejszajàcych napi´cie powierzchniowe.
– Aby osiàgnàç oczekiwany rezultat przeprowadzanego procesu nale˝y zastosowaç wszystkie zasady
umieszczone w instrukcji stosowania.
– P∏yn nale˝y rozcieƒczaç tylko wodà destylowanà lub demineralizowanà.
– St´˝enie p∏ynu: Wi´ksza iloÊç dodanej do p∏ynu wody destylowanej lub demineralizowanej zmniejsza
ekspansj´ wiàzania masy os∏aniajàcej. Dodatkowo zmniejsza si´ wytrzyma∏oÊç masy. Nie dodawaç wody
wi´cej ni˝ 50%.
– Do mieszania masy u˝ywaj tylko suchych, czystych narz´dzi . Nie u˝ywaç naczyƒ wykorzystywanych
do mieszania gipsu.
– Nale˝y ostro˝nie rozcinaç torebki i wysypaç ca∏à zawartoÊç.
– Nale˝y ÊciÊle przestrzegaç zalecanego czasu wiàzania, poniewa˝ ma to bezpoÊredni wp∏yw na ekspansj´
masy os∏aniajàcej.
– Nie zatapiaç pod ciÊnieniem, gdy˝ mo˝e to powodowaç zmian´ w∏aÊciwoÊci masy os∏aniajàcej.
– Nie pozostawiaç zatopionych pierÊcieni na d∏u˝szy czas, np. na weekend, z powodu ryzyka wystàpienia
p´kni´ç lub innych uszkodzeƒ podczas t∏oczenia.
60

Aby zapewniç prawid∏owe wygrzanie pierÊcieni w piecu do wygrzewania,
nale˝y przestrzegaç nast´pujàcych zaleceƒ:
– Zawsze wk∏adaç pierÊcienie do wystudzonego pieca.
– Nale˝y wykorzystywaç tylko po∏ow´ przestrzeni grzejnej (mufy) pieca.
– PierÊcienie nale˝y uk∏adaç w tylnej cz´Êci pieca.
– PierÊcienie uk∏adaç w piecu otworem do do∏u pod kàtem 45°, jeÊli jest to tylko mo˝liwe.
– PierÊcienie uk∏adaç w piecu tak, aby nie kontaktowa∏y si´ one ze sobà, zapewniajàc w ten sposób
swobodnà cyrkulacj´ powietrza.
– PierÊcienie z pieca do tłoczenia wyjmować natychmiast po zakoćczeniu programu tłoczenia.
– Piaskowaç, stosujàc ciÊnienie nie wi´ksze ni˝ 4 bary, a dysz´ kierowaç wy∏àcznie na mas´ os∏aniajàcà,
a nie na obiekt ceramiczny.
Uwagi dotyczàce bezpieczeƒstwa
– Nie otwieraç pieca w ciàgu pierwszych 20 min wygrzewania. Mo˝e bowiem dojÊç do poparzenia przez
opary wosku, które mogà si´ zapaliç w powietrzu.
– Materia∏ ten zawiera kwarc, który mo˝e byç przyczynà chorób p∏uc (pylica lub rak). Nale˝y unikaç
wdychania py∏u i u˝ywaç maski przeciwpy∏owej.
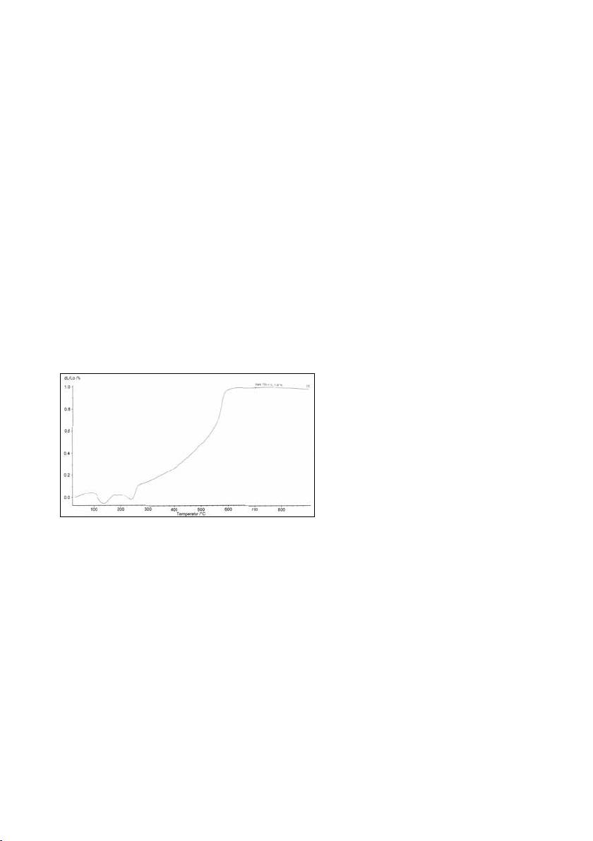
W∏aÊciwoÊci fizyczne
(zgodnie z normà ISO 15912:2006)
– Charakterystyka p∏ynnoÊci: 152 mm przy st´˝eniu p∏ynu 60%
– Wiàzanie wst´pne: 8,15 min przy st´˝eniu p∏ynu 60%
– Wytrzyma∏oÊç na Êciskanie: 3,4 MPa przy st´˝eniu p∏ynu 60%
– Ekspansja termiczna liniowa: 0,97 % przy st´˝eniu p∏ynu 60%
Materia∏ zosta∏ przeznaczony wy∏àcznie do stosowania w stomatologii. Przy jego stosowaniu nale˝y ÊciÊle przestrzegaç instrukcji u˝ycia.
Nie ponosi si´ odpowiedzialnoÊci za szkody powsta∏e na skutek nieprzestrzegania instrukcji lub stosowania niezgodnie z podanymi w instrukcji
wskazaniami. U˝ytkownik odpowiada za testowanie produktu dla swoich w∏asnych celów i za jego u˝ycie w ka˝dym innym przypadku nie
wyszczególnionych w instrukcji. Opis produktu i jego sk∏ad nie stanowià gwarancji i nie sà wià˝àce.
61

62

63
Table of contents
- IPS e.max Press
- IPS e.max ZirPress
- IPS e.max Press / IPS e.max ZirPress / IPS InLine PoM
- IPS e.max Press
- IPS e.max ZirPress
- IPS e.max Press / IPS e.max ZirPress / IPS InLine PoM
- IPS e.max Press
- IPS e.max ZirPress
- IPS e.max Press / IPS e.max ZirPress / IPS InLine PoM
- IPS e.max Press
- IPS e.max ZirPress
- IPS e.max Press / IPS e.max ZirPress / IPS InLine PoM
- IPS e.max Press
- IPS e.max ZirPress
- IPS e.max Press / IPS e.max ZirPress / IPS InLine PoM
- IPS e.max Press
- IPS e.max ZirPress
- IPS e.max Press / IPS e.max ZirPress / IPS InLine PoM
- IPS e.max Press
- IPS e.max ZirPress
- IPS e.max Press / IPS e.max ZirPress / IPS InLine PoM
- IPS e.max Press
- IPS e.max ZirPress
- IPS e.max Press / IPS e.max ZirPress / IPS InLine PoM
- IPS e.max Press
- IPS e.max ZirPress
- IPS e.max Press / IPS e.max ZirPress / IPS InLine PoM
- IPS e.max Press
- IPS e.max ZirPress
- IPS e.max Press / IPS e.max ZirPress / IPS InLine PoM
- IPS e.max Press
- IPS e.max ZirPress
- IPS e.max Press / IPS e.max ZirPress / IPS InLine PoM
- IPS e.max Press
- IPS e.max ZirPress
- IPS e.max Press / IPS e.max ZirPress / IPS InLine PoM
- IPS e.max Press
- IPS e.max ZirPress
- IPS e.max Press / IPS e.max ZirPress / IPS InLine PoM
- IPS e.max Press
- IPS e.max ZirPress
- IPS e.max Press / IPS e.max ZirPress / IPS InLine PoM
- IPS e.max Press
- IPS e.max ZirPress
- IPS e.max Press / IPS e.max ZirPress / IPS InLine PoM
- Ivoclar Vivadent – worldwide

