Beaba Babycook Duo – страница 4
Инструкция к Beaba Babycook Duo

Oplåsning af bladet:
Placering af skålpakningen
Fastsættelse af pakning på mixerkniv:
ANBEFALINGER
Genmontering af bladet:
installeret.
Låsning/Oplåsning af låget til skålen:
"KLIK!"
Notice Babycook duo 220x150 2013 v1.indd 61 26/02/13 16:48

beholderne.
Funktionsforstyrrelse Mulig afhjælpning
under apparatets basis.
varmebeholderne.
beholderne efter brug.
ledningen.
i beholderen.
Opvarmningen er
TEKNISKE DATA
62
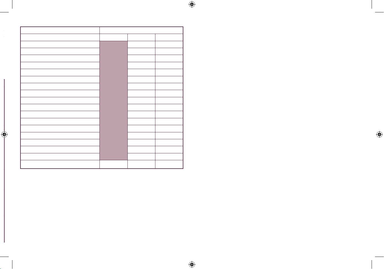
KOGEVEJLEDNING
Fødevarer Antal vanddoseringer
1 2 3
Grøntsager
•
•
Roer*
•
•
Squash
•
•
Ærter
•
•
•
Kød
•
•
Fisk
•
Frugt
Æbler
•
Til opvarmningen
•
•
Mandariner
•
Ananas
•
Kogetid
ca. 9 min
Notice Babycook duo 220x150 2013 v1.indd 62 26/02/13 16:48

63
Funktionsforstyrrelse Mulig afhjælpning
under apparatets basis.
i beholderen.
Opvarmningen er
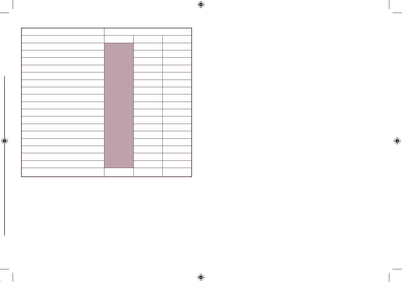
KOGEVEJLEDNING
Fødevarer Antal vanddoseringer
1 2 3
Grøntsager
•
•
Roer*
•
•
Squash
•
•
Ærter
•
•
•
Kød
•
•
Fisk
•
Frugt
Æbler
•
Til opvarmningen
•
•
Mandariner
•
Ananas
•
Kogetid
ca. 9 min
Notice Babycook duo 220x150 2013 v1.indd 63 26/02/13 16:48

FRAMTIDA BRUK
®
BABYCOOK
g
l
m
f
ANVISNINGAR
i
k
c
h
e
b
ad
a
Knivfog (x2)
n p
b
Mutter för att lösgöra kniven under
bunkens botten (x2)
j
c
Mixerkniv (x2)
d
Spatel (x1)
e
Bunke (x2)
f
Uppvärmningsbehållare (x2)
g
Lock till bunken (löstagbart) (x2)
h
Tillagnings-/uppvärmningskorg (x2)
i
Kommandoknapp:
"CLICK""CLICK"
Tillagning (x2)
Mixning (x1)
j
o
Spatelförvaring (x1)
k
Mixerlock/smoothie-filter (x2)
l
Lockfog (x2)
m
Låsningsarm (x2)
n
Upplåsningsvrede till bunken
(x2)
o
Elsladd
(x1)
p
Värmeskyddad zon
(x2)
64
För att undvika att bränna dig ska du
aldrig vrida fast locket med handflatan.
VARNING:
Var alltid försiktig vid hantering av kniven (knivbladen är
väldigt vassa). Likaså vid hantering av bunken och dess tillbehör efter
tillagning, då kvarvarande kondensvatten är väldigt hett.
Doppa aldrig det elektriska underredet i vätskor.
Koppla in apparaten i ett jordat uttag med 220-
240V~.
Notice Babycook duo 220x150 2013 v1.indd 64 26/02/13 16:48

TILLAGNING
För att undvika att bränna dig ska du
aldrig vrida fast locket med handfl atan.
VARNING:
Var alltid försiktig vid hantering av kniven (knivbladen är
den.
väldigt vassa). Likaså vid hantering av bunken och dess tillbehör efter
tillagning, då kvarvarande kondensvatten är väldigt hett.
OBS:
✔✔
Doppa aldrig det elektriska underredet i vätskor.
Koppla in apparaten i ett jordat uttag med 220-
240V~.
65
Notice Babycook duo 220x150 2013 v1.indd 65 26/02/13 16:48

MIXNING
AVKALKNING
OBS:
Använd aldrig kemiska avkalkningsmedel eller avkalkningsmedel
för kaffemaskiner i uppvärmningsbehållaren.
UNDERHÅLL
✔
OBS:
UPPVÄRMNING OCH UPPTINING
OBS:
(tina aldrig upp mat i rumstemperatur).
66
Ta loss knivbladet:
Fastsættelse af pakning på mixerkniv:
Sätta tillbaka knivbladet:
Sätta fast/ta loss bunkens lock:
"KLICK!"
Notice Babycook duo 220x150 2013 v1.indd 66 26/02/13 16:48

Ta loss knivbladet:
Placering av bunkens fog
Fastsættelse af pakning på mixerkniv:
REKOMMENDATIONER
Sätta tillbaka knivbladet:
Sätta fast/ta loss bunkens lock:
"KLICK!"
67
Notice Babycook duo 220x150 2013 v1.indd 67 26/02/13 16:48

. Kontrollera
garantin.
Fel Möjlig lösning
mixningen fungerar inte.
apparatens underrede.
TEKNISKA DATA
68
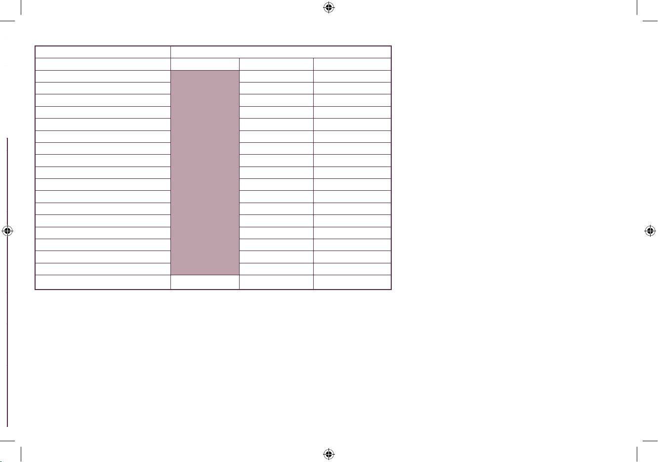
TILLAGNINGSGUIDE
Livsmedel Antal doser vatten
1 2 3
Grönsaker
•
Morot*
•
•
•
Zucchini
•
•
•
•
•
Kött
•
Vitt
•
Fisk
•
Frukt
Äpple
•
FÖR UPP-VÄRM-NINGEN
•
Jordgubbar
•
Mandarin
•
Ananas
•
Tillagningstid
Ung. 9 min
Notice Babycook duo 220x150 2013 v1.indd 68 26/02/13 16:48

69
Fel Möjlig lösning
mixningen fungerar inte.
apparatens underrede.
TILLAGNINGSGUIDE
Livsmedel Antal doser vatten
1 2 3
Grönsaker
•
Morot*
•
•
•
Zucchini
•
•
•
•
•
Kött
•
Vitt
•
Fisk
•
Frukt
Äpple
•
FÖR UPP-VÄRM-NINGEN
•
Jordgubbar
•
Mandarin
•
Ananas
•
Tillagningstid
Ung. 9 min
Notice Babycook duo 220x150 2013 v1.indd 69 26/02/13 16:48

®
g
l
m
f
i
k
c
h
e
b
ad
a
(x2)
n p
b
j
(x2)
c
(x2)
d
(x1)
e
(x2)
f
(x2)
g
(x2)
h
(x2)
i
:
(x2)
o
(x1)
"CLICK""CLICK"
j
(x1)
k
(x2)
l
(x2)
m
(x2)
n
(x2)
o
(x1)
p
(x2)
Notice Babycook duo 220x150 2013 v1.indd 70 26/02/13 16:48

✔✔
Notice Babycook duo 220x150 2013 v1.indd 71 26/02/13 16:48

✔
72
""
Notice Babycook duo 220x150 2013 v1.indd 72 26/02/13 16:48

""
73
Notice Babycook duo 220x150 2013 v1.indd 73 26/02/13 16:48

74
Notice Babycook duo 220x150 2013 v1.indd 74 26/02/13 16:48

75
Notice Babycook duo 220x150 2013 v1.indd 75 26/02/13 16:48

g
l
m
f
i
k
c
h
e
b
ad
a
(x2)
n p
b
(x2)
j
c
(x2)
d
(x1)
e
(x2)
f
(x2)
g
(x2)
h
(x2)
i
:
(x2)
(x1)
o
j
(x1)
k
(x2)
"CLICK""CLICK"
l
(x2)
m
(x2)
n
(x2)
o
(x1)
p
(x2)
76
220-240V~
Notice Babycook duo 220x150 2013 v1.indd 76 26/02/13 16:48

✔✔
220-240V~
77
Notice Babycook duo 220x150 2013 v1.indd 77 26/02/13 16:48

✔
78
""
Notice Babycook duo 220x150 2013 v1.indd 78 26/02/13 16:48

""
79
Notice Babycook duo 220x150 2013 v1.indd 79 26/02/13 16:48

Notice Babycook duo 220x150 2013 v1.indd 80 26/02/13 16:48

